Precision technologies and their relationship with the management of agricultural inputs in the context of sustainability in vulnerable regions

 

Tecnologías de precisión y su relación con la gestión de insumos agrícolas en el contexto de la sostenibilidad en regiones vulnerables

 

Manuel Santillán-Gonzáles1 ; Jorge Ganoza-Roncal1 ; Roiser Lobato-Galvez1

Carlos Oliva-Cruz1 * ; David Arratea-Pillco2

 

1 Instituto Nacional de Innovación Agraria - INIA, Estación Experimental Agraria El Porvenir, San Martín, Perú.

2 Universidad Nacional San Agustín de Arequipa, Arequipa, Perú.

 

* Corresponding author: coliva@inia.gob.pe (C. Oliva-Cruz).

 

Received: 26 December 2024. Accepted: 4 August 2025. Published: 18 August 2025.

 

 

Abstract

This research analyzes the relationship between the use of precision technologies and the management of agricultural inputs within the framework of sustainability. Structured surveys were conducted with 120 producers, addressing variables such as access to technology, training, technological integration, productivity, and barriers. Multiple linear regression, Spearman correlation, and cluster analysis were applied to identify the factors influencing efficient, environmentally responsible, and socioeconomically viable input management. The findings show that the Productivity and Sustainability dimension has a significant positive effect, while barriers and challenges have a negative influence. The model related to soil health (adjusted R² = 0.304) highlights the potential of precision technologies to enhance yield and reduce environmental impacts. However, structural limitations, such as high costs, insufficient infrastructure, and lack of training, were identified as major obstacles to adoption. The results emphasize the need for public policies, technical training programs, and support strategies to foster more sustainable, resilient, and inclusive agricultural systems aligned with the Sustainable Development Goals.

 

Keywords: Precision technologies; agricultural input management; sustainability; technological integration; precision agriculture.

 

 

Resumen

Esta investigación examina la relación entre el uso de tecnologías de precisión con la gestión de insumos agrícolas dentro de un contexto de sostenibilidad. Se aplicaron encuestas estructuradas a 120 productores que describieron su acceso a tecnología, capacitación, integración tecnológica, productividad y barreras; se procesó la información mediante regresión lineal múltiple, correlación de Spearman y análisis de clúster para descubrir los factores que propician una gestión eficiente responsable con el ambiente y viable en lo socioeconómico de los insumos agrícolas. Se evidencia que la dimensión productividad y sostenibilidad impacta de manera positiva mientras que las barreras y desafíos lo hacen negativamente; además el modelo enfocado en la salud del suelo (R² ajustado = 0,304) demuestra que dichas tecnologías pueden elevar el rendimiento y disminuir los impactos ambientales. Sin embargo, los altos costos, la falta de infraestructura y la escasa capacitación, frenan su adopción; por lo que se propone impulsar políticas públicas, formación técnica y acompañamiento, para alcanzar sistemas agrícolas más sostenibles resilientes e inclusivos en línea con los Objetivos de Desarrollo Sostenible.

 

Palabras clave: Tecnologías de precisión; gestión de insumos agrícolas; sostenibilidad; integración tecnológica; agricultura de precisión.

 

 

DOI: https://doi.org/10.17268/sci.agropecu.2025.045

 

 

Cite this article:

Santillán-Gonzáles, M., Ganoza-Roncal, J., Lobato-Galvez, R., Oliva-Cruz, C., & Arrata-Pillco, D. (2025). Tecnologías de precisión y su relación con la gestión de insumos agrícolas en el contexto de la sostenibilidad en regiones vulnerables. Scientia Agropecuaria, 16(4), 591-606.

 


1. Introducción

El aumento en la demanda mundial de alimentos ha llevado a un incremento en el uso de insumos agrícolas entre ellos los fertilizantes y pesticidas en diversas regiones (Mitchell et al., 2021; Vela, 2024;

 

Yadav et al., 2023) sin embargo han ocasionado deterioro de los suelos, contaminación del agua y reducción de la biodiversidad (Abhishek et al., 2025; Bilotta et al., 2023; DeLay et al., 2022; Shah & Wu, 2019). En este escenario, hay regiones vulnerables en Perú que se topan con retos vinculados a la ges­tión ineficaz de recursos agrícolas, agravados por la aplicación de técnicas convencionales que elevan los costos y producen un impacto ambiental perju­dicial (Ovchinnikov & Afanasyeva, 2023; Thompson et al., 2019). No obstante, la escasa infraestructura tecnológica junto con la poca formación especiali­zada se presenta como barreras del sector agrícola (Aguilar et al., 2024; Arana & Moggiano, 2022). Esto pone en riesgo la competitividad y obstaculiza que se cumplan las metas de desarrollo sostenible, tales como la eliminación del hambre y el fomento de prácticas agrícolas sustentables (Herrera et al., 2021; Triyono et al., 2021).

La adopción de tecnologías de precisión ha demos­trado optimizar el uso de recursos como agua, fer­tilizantes y pesticidas (Medici et al., 2021; Petrović et al., 2024; Saini et al., 2025), permitiendo mejorar la eficiencia de los procesos productivos y reducir los costos asociados (Finco et al., 2023; Majeed et al., 2023; Piccoli et al., 2023) y además reducir el im­pacto ambiental, particularmente en contextos con recursos limitados (Romani et al., 2023; Sun et al., 2022). Instrumentos como sensores, drones, pro­gramas de agricultura y sistemas de riego inteli­gente han evidenciado su habilidad para incremen­tar la productividad, disminuir el derroche de recur­sos y atenuar el impacto ecológico (Kolady et al., 2021; Monteiro & Santos, 2022; Singh & Sandeep Sharma, 2025; Vrchota et al., 2022). Investigaciones recientes se han demostrado que estas tecnologías fomentan prácticas resistentes al cambio climático y en concordancia con los Objetivos de Desarrollo Sostenible (Ali & Kaul, 2025; Bataille et al., 2020; Shrestha et al., 2021). Es así que Méndez et al. (2022) llegaron a validar un modelo de análisis de flujos energéticos y modelado de procesos mejo­rando la sostenibilidad de sistemas agrícolas del café. Se llegaron a usar sensores de humedad y sistemas de riego inteligente como herramientas de gestión para optimizar el uso del agua y fertilizantes (Dhanasekar, 2025; Filintas et al., 2022; Jiménez et al., 2022), también se llegó a implementar GPS y GIS para la toma de decisiones en agroforestería y agricultura de precisión (Joice et al., 2025; Karada et al., 2023), ofreciendo soluciones sostenibles al reducir la dependencia de insumos químicos y restaurar los ecosistemas agrícolas (McLennon et al., 2021), muy eficaz y beneficiosa en lugares donde no hay disponibilidad limitada de recursos hídricos (Alotaibi et al., 2023; Vullaganti et al., 2025; Zhou et al., 2022).

Ahora implementar estas tecnologías es toparse con varios obstáculos, entre ellos podemos señalar los elevados costos, la baja conectividad, y la necesidad de capacitación técnica (Bentivoglio et al., 2022; Medel et al., 2024; Roberts et al., 2023; Vatsanidou et al., 2020; Wadghane, 2022), y ni qué decir si a este problema además se le sumamos el envejecimiento de la población agrícola ya que es­taríamos ante una barrera tecnológica mayor (Kavga et al., 2021). Es así que implementarlo en áreas rurales tienen obstáculos económicos y tam­bién técnicos (Barbosa et al., 2022; Mitchell et al., 2021; Serrano et al., 2020).

El desarrollo de estrategias para integrar tecnolo­gías de precisión en la agricultura puede garantizar una producción agrícola resiliente frente a los efec­tos del cambio climático (Alotaibi et al., 2023; Bandurin et al., 2021). Es así que la agricultura de precisión es una alternativa prometedora con inno­vaciones en sensores, drones y sistemas de riego inteligente optimizando el uso de insumos y redu­ciendo el impacto ambiental (Barrile et al., 2022; Bwambale et al., 2025; Mohammed et al., 2025), siendo aun mayor el beneficio para regiones vulne­rables y con gran margen de mejora al recibir in­centivos e instrumentos de financiamiento de cade­nas productivas con fondos concursables (Coluccia et al., 2020; Nyaga et al., 2021; Rode et al., 2023; Sheikh et al., 2025).

 

A pesar de haberse demostrado una cada vez ma­yor adopción de tecnologías de precisión a nivel mundial (Bragaglio et al., 2023), pues en lugares o zonas más rurales ha estado limitada justamente por presentarse barreras económicas, técnicas y so­ciales (Erickson & Candler, 2019; Haggag et al., 2023). Existe una brecha en el conocimiento sobre cómo estas herramientas pueden integrarse para mejorar la gestión de insumos agrícolas en regiones con recursos limitados (Fu et al., 2022; Vinichenko et al., 2021), así como para cultivos específicos en Perú (Rode et al., 2023; Rojas et al., 2022) . Según Shrestha et al. (2021) y Bataille et al. (2020) el sector agrícola en América Latina enfrenta desafíos para reducir emisiones y adoptar prácticas sostenibles, lo que subraya la necesidad de estrategias integrales que combinen innovación tecnológica y políticas públicas (Filintas et al., 2022; Mesfin et al., 2023).

El objetivo de este trabajo de investigación es ana­lizar la relación entre la adopción de tecnologías de precisión y la gestión de insumos agrícolas en la re­gión San Martín. Específicamente, se busca identifi­car los factores que limitan su adopción, evaluar su impacto en la eficiencia productiva y la sostenibili­dad ambiental, y proponer estrategias para incre­mentar su uso en el marco del desarrollo sostenible.

 

2. Metodología

 

Obtención de datos

El estudio se desarrolló en la región San Martín, Perú, la cual está ubicada entre los 5°30' y 7°15' de latitud sur y los 75° y 77°30' de longitud oeste. Esta región se caracteriza por tener un clima tropical hú­medo y además altitudes que oscilan entre 300 y 900 msnm, y suelos predominantes con alto poten­cial agrícola.

Los datos se recopilaron mediante encuestas es­tructuradas (Anexo 1) aplicadas a una muestra representativa de 120 agricultores locales seleccio­nados mediante muestreo probabilístico. Este di­seño permitió evaluar simultáneamente la relación entre el uso de tecnologías de precisión y la gestión de insumos agrícolas. Las variables, dimensiones e indicadores pueden apreciarse en la Tabla 1, donde las variables incluyeron el uso de tecnología de preci­sión como variable 1, las cuales se dividieron en cinco dimensiones: acceso a la tecnología, capaci­tación y conocimiento, integración tecnológica, productividad y sostenibilidad, y barreras y desafíos (15 indicadores). La gestión de insumos agrícolas fue la variable 2, evaluada a través de cinco dimensio­nes: uso eficiente de recursos, impacto ambiental, salud del suelo, sostenibilidad de la producción, e impacto socioeconómico (19 indicadores). Esta ma­triz brinda una evaluación integral al vincular herra­mientas como SIG drones y sensores con prácticas agrícolas sostenibles consideraciones económicas y efectos ecológicos fortaleciendo el enfoque sistémico del análisis.

 

Análisis de datos

En este estudio se empleó un proceso de análisis de datos que incluyendo en primer lugar la lectura y depuración de la base de 120 registros sin valores faltantes, la eliminación de la variable identificadora y el cálculo de estadísticos descriptivos para cada dimensión de uso de tecnologías de precisión (E1–E5) y gestión de insumos (S1–S5), seguidamente se logró identificar valores atípicos mediante boxplots con notches y marcas de media (Chapman, 2018), también se exploró la relación entre dimensiones con la correlación de Spearman (mostrando solo coeficientes significativos, p < 0,05) para seleccionar los predictores más relevantes (Siegel & Castellan Jr., 1988). Sobre estas dimensiones se ajustaron modelos de regresión lineal múltiple (uno por cada S1–S5) reportando R² ajustados, coeficientes, p-valores e intervalos de confianza (Hair et al., 2010) y se validaron sus supuestos mediante histogramas, QQ-plots y gráficos de residuos versus valores ajustados (Mertler et al., 2021), posteriormente se aplicó ANOVA univariante para evaluar diferencias de medias entre niveles de E y S (Chapman, 2018) y finalmente se segmentó la muestra en tres clústeres con K-Means para perfilar tipologías de agricultores según E y S describiendo porcentajes y centroides de cada grupo (Everitt Brian, 2011; Jain, 2010).

 

3. Resultados y discusión

 

Análisis descriptivo

Según la Figura 1, la dimensión Capacitación y conocimiento (E2) presenta la media más alta (4,49), los agricultores perciben este aspecto para la implementación exitosa de tecnologías, alineado con lo señalado por Kavga et al. (2021), quienes destacan la importancia de la formación para cerrar brechas tecnológicas. Sin embargo, el acceso a la tecnología (E1) muestra el promedio más bajo (3,04), reflejando limitaciones estructurales en infraestructura y financiamiento, tal como lo describe Barbosa et al. (2022) al identificar barreras significativas para la adopción de prácticas sostenibles. La desviación estándar más elevada se observa en el uso eficiente de recursos (S1) (0,59), lo que evidencia una variabilidad significativa entre los agricultores respecto a la gestión de insumos. Esto podría relacionarse con las disparidades en el acceso a tecnologías, la cual es una problemática también reportada por Thompson et al. (2019) en su estudio sobre percepciones heterogéneas de la agricultura de precisión. Además, Erickson & Candler (2019) al analizar los sistemas tradicionales en el Lago Titicaca, destacan que las prácticas agrícolas adaptadas a condiciones locales pueden superar métodos tecnológicos convencionales en términos de sostenibilidad y resiliencia. Por otro lado, Bandurin et al. (2021) enfatizan cómo el monitoreo eficiente y la infraestructura son claves para optimizar recursos críticos como el agua. Adicionalmente, Piccoli et al. (2023) y Haggag et al. (2023) enfatizan el rol de tecnologías como SIG y sensores remotos para mejorar la eficiencia en el manejo de insumos, lo que sugiere que una mayor integración tecnológica (E3) podría potenciar los efectos positivos observados en E4.

 

Análisis de correlación de Spearman

En la Figura 2 se muestra el análisis de correlación de Spearman donde se reveló que la dimensión E4 (Productividad y sostenibilidad) tiene una influencia positiva moderada sobre la gestión de insumos agrícolas, con coeficientes de hasta 0,32 en S1, S2, S3 y S4, mientras que E5 (Barreras y desafíos) exhibió correlaciones negativas significativas destacando -0,42 en salud del suelo (S3). Esta tendencia se puede apreciar en la Figura 3 ya que los productores con altos niveles de E4 registran mejores puntuaciones promedio en eficiencia, sostenibilidad y salud del suelo, mientras que los altos niveles de E5 se asocian con desempeños más bajos, con diferencias significativas (p < 0,05).

Por otro lado, se muestra que la regresión lineal (Figura 4) corrobora estos hallazgos: E4 presenta un coeficiente positivo y E5 negativo, mientras que E1, E2 y E3 no son significativos. El modelo cumple los supuestos de normalidad y homocedasticidad de los residuos, validando estadísticamente que la sostenibilidad productiva impulsa la eficiencia en la gestión de insumos, mientras que las barreras limitan severamente su desarrollo.


 

Tabla 1

Variables evaluadas para el análisis

 

Variables

Dimensiones

Indicadores

V1
Uso de tecnología de precisión (E)

E1

Acceso a la tecnología

E11

Disponibilidad del mercado local

E12

Acceso a financiamiento

E13

Infraestructura de soporte

E2

Capacitación y conocimiento

E21

Nivel de educación y formación

E22

Programas de capacitación

E23

Conocimiento

E3

Integración tecnológica

E31

Sistemas de información geográfica (SIG)

E32

Sensores remotos

E33

Utilización de drones

E4

Productividad y sostenibilidad

E41

Rendimientos agrícolas

E42

Uso de recursos

E43

Calidad de los productos agrícolas

E5

Barreras y desafíos

E51

Costo de adquisición y mantenimiento

E52

Resistencia al cambio

E53

Infraestructura y conectividad

V2
Gestión de insumos agrícolas (S)

S1

Uso Eficiente de Recursos

S11

Tasas de aplicación de fertilizantes y pesticidas

S12

Uso de agua para riego

S13

Uso de semillas mejoradas y técnicas de cultivo

S2

Impacto ambiental

S21

Niveles de residuos químicos en el suelo y agua

S22

Tasa de erosión del suelo

S23

Pérdida de biodiversidad

S24

Emisión de gases nocivos

S3

Salud del suelo

S31

Materia orgánica

S32

Actividad microbiana

S33

Estructura y fertilidad

S34

Capacidad de retención de agua y nutrientes

S4

Sostenibilidad de la Producción

S41

Rendimiento de los cultivos por hectárea

S42

Resistencia de los cultivos a enfermedades y plagas

S43

Uso de prácticas de cultivo sostenibles

S44

Uso de biofertilizantes y biocarbón

S4

Impacto Socioeconómico

S51

Costos de producción asociados al uso de insumos

S52

Acceso y asequibilidad de insumos agrícolas para los agricultores

S53

Conocimiento y adopción de prácticas de manejo sostenible

S54

Impacto en la seguridad alimentaria

 

 

Figura 1. Boxplot de variables independientes E1 – E5 y dependientes S1 – S5 valoradas en escala Likert de 1 a 5 para identificación de Outliers.


 


 

Figura 2. Matriz de correlación (Spearman) entre dimensiones principales.

 

 

 

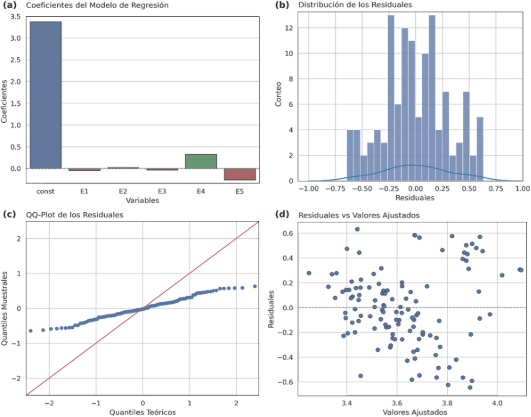
Figura 3. Relación entre niveles de Productividad y Sostenibilidad (E4) y Barreras y Desafíos (E5) con indicadores de gestión de insumos agrícolas (S1 a S4). (a) mayor nivel de E4 se asocia con un uso más eficiente de recursos (S1), mientras que E5 se relaciona negativamente. (b) altos niveles de E4 mejoran el impacto ambiental (S2) a diferencia de E5. (c) y (d), se confirma la tendencia sobre salud del suelo (S3) y sostenibilidad productiva (S4). Todas las diferencias registradas son significativas (p < 0,05).


 

Figura 4. Análisis de regresión lineal para la Gestión de insumos agrícolas. (a) la variable E4 (Productividad y sostenibilidad) tiene un coeficiente positivo significativo, y E5 (Barreras y desafíos) posee un efecto negativo. Las variables E1, E2 y E3 no muestran influencia relevante. (b) el histograma de residuos sugiere una distribución aproximadamente normal. (c) los residuos se alinean con la diagonal teórica del QQ-plot. (d) la dispersión de residuos frente a los valores ajustados no presenta patrones evidentes, validando homocedasticidad y ajuste adecuado del modelo.

 


Regresión lineal múltiple

Según el análisis de regresión lineal (Tabla 2) entre las dimensiones evaluadas, Productividad y sostenibilidad (E4) hay una relación positiva significativa (coeficiente = 0,325; p < 0,001), de ello se puede apreciar su contribución directa a una gestión sostenible de los insumos indicando que el aumento en prácticas productivas y sostenibles favorece la mejora en el manejo de insumos. Por otro lado, Barreras y desafíos (E5) presenta un coeficiente negativo significativo (coeficiente = -0,263, p < 0,001), esta situación nos indica que las barreras estructurales y la resistencia al cambio impactan negativamente. Las demás dimensiones (E1, E2, E3) no muestran significancia estadística (p > 0,05), por lo que se puede entender una baja influencia directa en este modelo específico.

Los resultados evidencian una relación limitada entre el uso de tecnologías de precisión (TP) y la gestión de insumos agrícolas (GI), tal como lo confirman los coeficientes no significativos en el análisis de regresión lineal para la mayoría de las dimensiones asociadas a las tecnologías de precisión (E1, E2 y E3). Esto contrasta con Bilotta et al. (2023), quienes encontraron que la integración de sistemas digitales como GIS y sensores optimizan procesos en el contexto de la Agricultura 4.0. Por otro lado, Bilotta et al. (2023) demostraron que la integración de sistemas como GIS y UAVs optimizan el uso de recursos y reduce insumos en un 20%. Barrile et al. (2022) complementa integrando UAVs y sensores autónomos, para la toma de decisiones adaptada a las necesidades del terreno, incluso sistemas de información geográfica (SIG) y sensores remotos según Karada et al. (2023), los cuales son fundamentales para comprender dinámicas complejas, como la relación entre topografía y salud del suelo, aunque en el presente estudio esta dimensión (E3) no mostró un impacto significativo. Filintas (2021) destacó que la implementación de tecnologías basadas en sensores mejora significativamente la sostenibilidad agrícola al optimizar el uso de agua y fertilizantes. Siendo denominados según la investigación de Medel et al. (2024) como los mapas prescriptivos que reducen impactos ambientales.


Tabla 2

Resultados del análisis de la regresión lineal para la Gestión de insumos agrícolas

 

Variable Independiente

Coeficiente

p-valor

Intervalo de Confianza (95%)

Significancia

Intercepto

3.375

0.001

[1.491, 5.260]

Significativo

E1: Acceso a la tecnología

-0.043

0.621

[-0.215, 0.129]

No significativo

E2: Capacitación y conocimiento

0.021

0.868

[-0.231, 0.274]

No significativo

E3: Integración tecnológica

-0.034

0.813

[-0.318, 0.250]

No significativo

E4: Productividad y sostenibilidad

0.325

0

[0.152, 0.499]

Significativo

E5: Barreras y desafíos

-0.263

0

[-0.380, -0.147]

Significativo

 


Se ha encontrado una relación positiva y significa­tiva de la productividad y sostenibilidad en la ges­tión de insumos agrícolas, en ese mismo sentido Shrestha et al. (2021) demostraron que incluir biofertilizantes y técnicas de conservación del suelo fortalecen la productividad, lo que se corrobora con Shah & Wu (2019) en que la gestión de nutrientes y sistemas de riego no solo mejoran el rendimiento agrícola, sino que también reducen el uso de ferti­lizantes químicos y las emisiones de gases. Por otro lado, McLennon et al. (2021) sugiere combinar tec­nologías inteligentes con prácticas regenerativas, pues debido a que según Vinichenko et al. (2021) puede aumentar la eficiencia económica. En tal sentido y según Bataille et al. (2020) y Triyono et al. (2021) demuestran cómo la integración de recursos económicos y sociales puede superar barreras y mejorar la sostenibilidad del sistema agrícola.

Por otro lado, la influencia negativa de las barreras y desafíos (E5) en la gestión de insumos concuerda con las observaciones de Wadghane (2022) quien identifica cómo factores sociales y económicos limi­tan la adopción de prácticas sostenibles en sistemas agrícolas tradicionales, además Bentivoglio et al. (2022) identificaron que los costos iniciales y la re­sistencia al cambio limitan significativamente la adopción de innovaciones, que según Arana & Moggiano (2022) los marcos regulatorios incenti­van la adopción de innovaciones tecnológicas desde una perspectiva inclusiva. También con Vrchota et al. (2022) particularmente ya que fue quien identificó altos costos de inversión inicial y re­sistencia al cambio como factores limitantes. Además, Nyaga et al. (2021) señalan que la falta de infraestructura y la dependencia de investigadores externos limitan la expansión de la agricultura de precisión en regiones subdesarrolladas. Los hallaz­gos de Majeed et al. (2023) sobre la adopción de energías renovables exponen desafíos similares a los observados en E5. Por otro lado Rode et al. (2023) subraya que la fragmentación institucional y la baja prioridad política limitan la adopción de tec­nologías sostenibles. En tal sentido Aguilar et al. (2024) dio una aproximación como la disponibili­dad de recursos hídricos y el nivel educativo particularmente adoptaron prácticas sostenibles, enton­ces la capacitación y el fortalecimiento institucional pueden mitigar en efecto las barreras, además de tener la necesidad de soporte técnico continuo (Finco et al., 2023).

Una gestión participativa podría ser clave para su­perar las resistencias al cambio puede ayudar a fo­mentar la adopción de tecnologías sostenibles en comunidades rurales según lo sugiere Jiménez et al. (2022) y Monteiro & Santos (2022) mediante po­líticas inclusivas y educación técnica para maximizar los beneficios de la agricultura de precisión.

El análisis de regresión lineal múltiple (Tabla 3) per­mitió evaluar la relación entre el uso de tecnologías de precisión (E) y diversas dimensiones de la ges­tión de insumos agrícolas (S). En los modelos ajus­tados, se destaca que E4 (Productividad y sosteni­bilidad) y E5 (Barreras y desafíos) son las variables independientes más influyentes, mostrando signifi­cancia estadística (p < 0,05) en los modelos S1, S2, S3 y S4. Los coeficientes positivos de E4 (e.g., 0,5213 en S1) indican que mejoras en la productividad y sostenibilidad están asociadas con una gestión más eficiente de recursos e insumos agrícolas. Por otro lado, los coeficientes negativos de E5 (e.g., -0,3463 en S1) muestran que las barreras tecnológicas, como costos y resistencia al cambio, afectan nega­tivamente. Estos resultados coinciden con lo repor­tado por Barrile et al. (2022) al identificar la relevan­cia de integrar sensores, UAVs y sistemas autóno­mos en el manejo agrícola para optimizar la aplica­ción de insumos, también por Ali-Кhusein & Urquhart (2023) al incluir la robótica y la automati­zación para mejorar la eficiencia de las prácticas agrícolas, maximizando el rendimiento y redu­ciendo los impactos ambientales. También coincide parcialmente con Thompson et al. (2019) al identifi­car la capacitación y la infraestructura en los bene­ficios derivados de la tecnología de precisión. De la misma forma con los resultados de Vatsanidou et al. (2020) quienes documentaron la mejora en la sostenibilidad y la eficiencia del uso de insumos a través de la aplicación de tecnologías de tasa varia­ble (VRA) en un huerto de peras al ser la producti­vidad alta. En tal sentido, la relación entre las varia­bles de tecnología de precisión (E1-E5) y la gestión de insumos agrícolas (S1-S5) no ha sido significativa en su totalidad, particularmente difiere de los ha­llazgos de otros estudios como el de Wadghane (2022), debido a que la adopción de prácticas sos­tenibles en cultivos como la caña de azúcar contri­buyó a una mejora en la gestión de insumos en ecosistemas agrícolas.

De acuerdo con DeLay et al. (2022), la adopción de TP incrementa significativamente la eficiencia téc­nica, superando las limitaciones tradicionales en el uso de insumos y sugiriendo un impacto positivo en variables como la sostenibilidad y la productividad agrícola, lo que es respaldo por Méndez et al. (2022), al demostrar que la sostenibilidad se logró con aplicación de tecnologías emergentes. Mesfin et al. (2023) sugirió la necesi­dad de políticas dirigi-das a mejorar la capacitación y reducir barreras (E5). Debido a los hallazgos de Filintas et al. (2022) y Alotaibi et al. (2023) sobre el uso eficiente de agua y fertilizantes mediante sensores, demuestran cómo las TP pue­den mejorar la sostenibilidad agrícola, particular­mente en la gestión del recurso hídrico.

Los resultados demuestran la importancia de abor­dar barreras tecnológicas para maximizar los bene­ficios de la sostenibilidad (Shah & Wu, 2019), que según Jiménez et al. (2022) debe un enfoques par­ticipativo, ya que según lo demuestra Medel et al. (2024) y Mitchell et al. (2021) las tecnologías de pre­cisión reducen impactos ambientales al lograr opti­mizar la fertilización y otras prácticas agrícolas, que según Rode et al. (2023) los incentivos financieros y técnicos fomentan la adopción tecnológica. Es así que el bajo impacto del acceso a la tecnología (E1) y la capacitación (E2) en esta investigación es dife­rente con lo planteado por Bentivoglio et al. (2022), particularmente en que el éxito de la adopción de innovaciones tecnológicas depende en gran me­dida de la cooperación y el intercambio de conoci­miento dentro de la red de productores, pues con­cuerda con lo reportado por Vrchota et al. (2022), quienes observaron que el acceso amplio a tecno­logías de precisión como sistemas de navegación incrementa la eficiencia operativa. También con­trasta parcialmente de lo señalado por Haggag et al. (2023), quienes destacan que el uso de herra­mientas como los sistemas de información geográ­fica (GIS) y la teledetección permite una gestión más precisa de los recursos agrícolas, mejorando tanto la detección de problemas como la imple­mentación de soluciones. Según Karada et al. (2023) y Mitchell et al. (2021) la adopción de tecno­logías de precisión depende de superar barreras económicas y demostrar su valor agregado.

La investigación de Triyono et al. (2021) sugirió me­jorar la eficiencia económica para garantizar la sos­tenibilidad del cultivo de arroz en Indonesia, por lo tanto, se sabe que S1 (Uso eficiente de recursos) al no mostrar una correlación significativa con las tec­nologías de precisión quiere decir que hay barreras estructurales o de conocimiento que limitan su uso. De continuar este problema se tiene una posible necesidad de adaptar prácticas tecnológicas de manera más localizada, pues también se menciona en el trabajo de Monteiro & Santos (2022) particu­larmente en la importancia del manejo de malezas adaptado. Es así que Seleiman & Hafez (2021) des­tacaron que la gestión de insumos agrícolas puede fomentar la sostenibilidad al reducir la dependencia de insumos químicos y mejorar la salud del suelo.

El análisis de regresión lineal por mínimos cuadra­dos ordinarios (OLS) muestra las dimensiones del uso de tecnologías de precisión (E) y su influencia en la gestión de insumos agrícolas (S). Particular­mente este modelo tiene un R2 de 0,258, es así, que se puede afirmar que el 25,8% de la variabilidad en la gestión de insumos agrícolas pues es explicada por las dimensiones independientes. Eso quiere de­cir que hay una relación moderada, de continuar así los resultados también destacan variables específi­cas con efectos significativos. Entre las dimensiones analizadas, E4 (Productividad y sostenibilidad) pues tienen un coeficiente positivo significativo (β = 0,325, p < 0,001), en tal sentido es importante afir­mar que mejoras en la productividad están asocia­das con una gestión más eficiente de insumos. Es así que E5 (Barreras y desafíos) presenta un impacto negativo significativo (β = -0,263, p < 0,001) el cual coincide con Priya & Singh (2024) en que las prácticas agrícolas sostenibles pueden verse obstaculizadas por factores técnicos, financieros y sociales, lo que resalta la importancia de políticas públicas que favorezcan la inclusión tecnológica (Mozambani et al., 2023; Vela, 2024).


 

Tabla 3

Resultados del análisis de la regresión lineal múltiple

 

Regresión múltiple

Variable

dependiente (S)

Ajustado

F-Estadístico (p-valor)

Variables significativas

(p < 0,05)

Coeficientes significativos

Modelo 1 (S1)

S1

0.159

5,485 (0,000146)

E4, E5

E4: 0,5213, E5: -0,3463

Modelo 2 (S2)

S2

0.136

4,754 (0,000555)

E4, E5

E4: 0,3127, E5: -0,3468

Modelo 3 (S3)

S3

0.304

11,42 (6,03e-09)

E4, E5

E4: 0,4129, E5: -0,4218

Modelo 4 (S4)

S4

0.157

5,428 (0,000162)

E4, E5

E4: 0,4633, E5: -0,3023

Modelo 5 (S5)

S5

0.003

1,071 (0,380)

Ninguna

Ninguno


Según la Figura 3 reflejan el impacto positivo de es­tas tecnologías en la sostenibilidad agrícola, lo cual está alineado con los hallazgos de Fu et al. (2022) en el manejo de recursos naturales para lograr me­joras sostenibles a escala regional y Kavga et al. (2021) particularmente al demostrar la capacitación como pilar. Es así que la integración de datos en plataformas como AgroAPI, descrita por Romani et al. (2023) sugiere en consecuencia un potencial sig­nificativo para optimizar la toma de decisiones, si­tuación que sería beneficioso en el manejo de insu­mos como agua y fertilizantes en cultivos. Es así que, Medici et al. (2021) resaltan la capacidad de las he­rramientas de precisión para incrementar la renta­bilidad, más aún de los enfoques holísticos, como propuesto por Yadav et al. (2023) ya que pueden complementar estas estrategias tecnoló-gicas.

La relación positiva y significativa entre la producti­vidad/sostenibilidad y la gestión de insumos agrí­colas (coeficiente: 0,325; p < 0,001) está alineada con Ali-Кhusein & Urquhart (2023) y Koutsos & Menexes (2019), al demostrar que las tecnologías de precisión incluyendo la robótica y automatiza­ción tienen el potencial de mejorar las prácticas agrícolas, maximizando el rendimiento y redu­ciendo los impactos ambientales adversos, el cual en otros casos según Loures et al. (2020) son UAV/RPAS e índice NDVI reduciendo el uso de agua y fertilizantes, o también sensores multiespec­trales y drones (Sun et al., 2022), pero según Hanson et al. (2022) deben ser complementadas en la gestión de cultivos para generar beneficios eco­nómicos. No obstante según Marinus et al. (2023) y Dhoubhadel (2021) los cambios hacia la sostenibili­dad no siempre garantizan beneficios económicos pues también debido a las limitaciones en el acceso a mercados y a los costos iniciales elevados, por lo que cabe mencionar resultados similares a Pande & Moharir (2023) pues porque aplicaron tecnologías de monitoreo hiperespectral y GIS. Sin embargo, Asem et al. (2023) demostró tener impactos dife­renciales dependiendo del contexto socioeconó­mico y ecológico, es decir con un enfoque diferente como el de Zaman (2023) optimizando el uso de insumos, reduciendo pérdidas y minimizando ries­gos ambientales, que se está aplicando, ya que se­gún Dimitrijević (2023) las tecnologías agrícolas modernas optimizan el uso de insumos o también al optimizar el uso de agroquímicos y mejorar la toma de decisiones según Saleem et al. (2023).

El impacto negativo de las barreras tecnológicas sobre la gestión de insumos (coeficiente: -0,263; p < 0,001) también coincide con los hallazgos de Priya & Singh (2024) particularmente debido a que su aplicación pueden obstaculizarse por factores técnicos, financieros y sociales, que según Danbaki et al. (2020) y Bragaglio et al. (2023) están relacio­nadas con los altos costos de implementación y la necesidad de equipos especializados, también la falta de acceso a herramientas tecnológicas en zo­nas de alta vulnerabilidad (Bekanov et al., 2022), la falta de formación especializada (Petrović et al., 2024), además la complejidad operativa y la limi­tada disponibilidad de equipos (Vahdanjoo et al., 2023).

 

Análisis por dimensión

El análisis de varianza (ANOVA de un factor) reveló que no existen diferencias estadísticamente signifi­cativas en el impacto del uso de tecnologías de pre­cisión (E) sobre la gestión de insumos agrícolas (S) (F = 1,01, p = 0,3661). En tal sentido la baja signifi­cancia en la variable E (F = 0, p = 0,9827) indica que las dimensiones relacionadas con la tecnología no generan efectos diferenciados que puedan explicar variaciones que sean significativas en los indicado­res de gestión de insumos. Esta situación nos anima a complementar con los hallazgos previos de re­gresión OLS donde se refuerza que la relación en­tre el uso de tecnología de precisión y la gestión de insumos agrícolas particularmente presenta una va­rianza moderada (R² = 0,258). Por lo tanto, es im­portante afirmar que la Productividad y sostenibili­dad (E4) y Barreras y desafíos (E5) son los que des­tacan con efectos significativos y opuestos (coefi­cientes 0,3251 y -0,2634, respectivamente) sugi­riendo que las mejoras tecnológicas no siempre se traducen directamente en una gestión más efi­ciente debido a limitaciones estructurales como el costo o resistencia al cambio.

De acuerdo con Roberts et al. (2023) aunque las tecnologías de precisión pueden mejorar indicado­res ambientales como la retención de agua o la re­ducción de insumos químicos, se sabe que no siem­pre se traduce en beneficios económicos, concor­dando en tal sentido con la dimensión de Barreras y desafíos (E5), particularmente donde los costos iniciales y la resistencia al cambio limitan la adop­ción de las tecnologías de precisión (Saini et al., 2025; Singh & Sandeep Sharma, 2025). En ese sen­tido Serrano et al. (2020) considera ecosistemas específicos, en esto destacando que las tecnologías de precisión son herramientas útiles en contextos complejos como sistemas agro-silvo-pastoriles, pero su efectividad depende de la integración de factores climáticos, edáficos y sociales, como tam­bién lo señala la dimensión de Salud del suelo (S3). De manera similar, los hallazgos de Zhou et al. (2022) muestran cómo los modelos de gestión efi­ciente de recursos pueden reducir la incertidumbre, lo cual es crucial en regiones con limitaciones estructurales. También los avances en tecnologías IoT y IA discutidos por Ovchinnikov & Afanasyeva (2023) y Abhishek et al. (2025) muestran que la op­timización en la toma de decisiones es viable.

Ahora si bien es cierto que a diferencia de estudios previos que han encontrado una correlación signi­ficativa entre acceso a la tecnología (E1) y eficiencia en la gestión de recursos agrícolas (Griffin et al., 2019), cabe mencionar que nuestros resultados no llegaron a evidenciar una relación estadísticamente significativa entre estas variables (p > 0,05). Esto podría deberse a limitaciones en la infraestructura tecnológica en la región de San Martín o a diferen­cias en las escalas de adopción tecnológica. Este hallazgo difiere del estudio de Zhang & Lu (2020) y Nowak (2021) al hallar que el aumento en la capa­citación y el acceso a tecnologías contribuyó a la recuperación de áreas sembradas y la productivi­dad agrícola, el impacto directo de las redes de sensores inalámbricos en la eficiencia de cultivos específicos demostrado por Thakur et al. (2019), el rol de las tecnologías GIS y GPS para optimizar la toma de decisiones en la gestión de insumos agrí­colas según Bajaj et al. (2023), el acceso a tecnolo­gías agrícolas según Shikuku et al. (2019) se ve fa­vorecido por incentivos específicos y redes de difu­sión del conocimiento, ya que según Verma et al. (2023), Bwambale et al. (2022) y Mohammed et al. (2025) la proximidad a tecnologías mejora el moni­toreo de cultivos y optimiza el uso de recursos, además Aslan et al. (2022) y Michailidis et al. (2024) los déficits de competencias entre agricultores y técnicos limitan el aprovechamiento del potencial de las tecnologías de precisión. No obstante, según Gardezi et al. (2022) debe haber apropiación efec­tiva de las tecnologías por parte de los agricultores, también capacitaciones para reducir la brecha tec­nológica, especialmente en grupos con menor al­fabetización digital (Chelliah & Raj, 2023).

 

Análisis de conglomerados (clústeres)

La Figura 5 muestra tres grupos distintos (clústeres), es así que se puede destacar el Clúster 1 que repre­senta a los productores que tienen una adopción intermedia de tecnología. Por otro lado, el Clúster 2 está asociado a productores que presentan ba­rreras significativas para la adopción tecnológica, mientras que el Clúster 0 por otro lado a aquellos con alta integración tecnológica y mejor desem­peño en indicadores como sostenibilidad y productividad.

 

Figura 5. Análisis de agrupamiento que clasifica a los agricultores según el uso de tecnologías de precisión (E) y la gestión de insumos agrícolas (S), con el método del codo, se determinó tres clústeres (k = 3) era el número óptimo al observar una caída abrupta en la inercia. (a) clúster 1 reúne productores con alta gestión y alto uso tecnológico, el clúster 0 agrupa a quienes tienen bajo desempeño en ambas dimensiones. (b) el 48,3% de los productores pertenece al clúster 2, el 16,7% se encuentra en el clúster 1.

 

El Cluster 0 que incluye a productores con baja adopción tecnológica, está compuesto por 42 pro­ductores (35%), se caracteriza por una baja adop­ción tecnológica, que puede deberse a una baja participación que limite su capacidad para mejorar su competitividad (Vela, 2024). Petrović et al. (2024) señala que los agricultores con menores recursos tecnológicos enfrentan desafíos relacionados con el acceso a datos y las herramientas para aprovechar las tecnologías de precisión. En ese contexto, se puede afirmar que estrategias como la implemen­tación de herramientas digitales, capacitación y demostraciones de campo pueden cerrar la brecha tecnológica y generar beneficios tangibles, tal como proponen Medici et al. (2021), quienes destacan la utilidad de herramientas web para evaluar el impacto económico de las tecnologías de precisión, Serrano et al. (2020) subrayan que los ecosistemas agrícolas complejos, como los sistemas agro-silvo-pastorales, requieren herramientas tec­nológicas accesibles y capacitaciones específicas para mejorar la fertilidad del suelo y optimizar el manejo de recursos. Según lo señalan Garg et al. (2024) y Erickson & Candler (2019) la implemen-tación de estas tecnologías requiere una infraestruc­tura digital robusta y un soporte técnico continuo para maximizar su eficacia.

El Cluster 1 que incluye a productores con adopción intermedia con 20 productores (16.7%) el cual ade­más presenta un nivel intermedio de adopción tec­nológica, quienes además pueden beneficiarse de la integración progresiva de tecnologías, como los sistemas de riego inteligente, en consecuencia pue­den formar redes colaborativas entre instituciones de investigación, productores y proveedores de tecnología (Herrera et al., 2021; Sheikh et al., 2025), uso de insumos, mediante plataformas digitales como AgroAPI y creación de redes de conoci­miento (Romani et al. 2023) particularmente facili­tando el acceso a datos y modelos predictivos que pueden ayudar a regular los riesgos y el uso de re­cursos (Zhou et al., 2022), en tal sentido la adopción de tecnologías mediante intervenciones que reduz­can los costos iniciales y demuestren beneficios tan­gibles a corto plazo (Coluccia et al., 2020), eso quiere decir que mejorará la sostenibilidad y res­puesta de los cultivos (Kim et al., 2021). De acuerdo con Tataridas et al. (2022) estas plataformas digita­les se alinean con los objetivos del Green Deal de la Unión Europea. Según Coluccia et al. (2020) la adopción inicial de tecnologías puede incremen­tarse mediante intervenciones que reduzcan los costos iniciales y demuestren beneficios tangibles a corto plazo.

En el Cluster 2 están los productores con mayor adopción tecnológica (58 productores, 48%), donde se muestra un avance en el uso de tecnolo­gías de precisión. En ese sentido fortalecer sistemas como el uso de drones y plataformas IoT, podría fortalecer aún más su capacidad para tomar deci­siones basadas en datos en tiempo real. Se sabe actualmente que los hallazgos en este clúster tam­bién son consistentes con los de Sun et al. (2022) y Roberts et al. (2023) en el uso de sensores remotos en la agricultura de precisión, lo que facilita la caracterización de cultivos. Sin embargo, Bragaglio et al. (2023) demostró que no necesaria­mente garantizan automáticamente la sostenibili­dad ambiental, por lo tanto, es importante combinar tecnologías con certificaciones ambientales y enfo­ques de ciclo, pero considerando condiciones loca­les, y particularmente factores edafoclimáticos y so­cioeconómicos Rojas et al. (2022). En tal sentido se­gún Rehman et al. (2024) y Ovchinnikov & Afanasyeva (2023) las tecnologías como el IoT y la inteligencia artificial no solo incrementan la produc­tividad, sino que también permiten un monitoreo preciso y en tiempo real, facilitando decisiones informadas. En ese sentido podemos afirmar que incentivar proyectos de investigación y desarrollo (I+D) en conjunto con los productores podría for­talecer su competitividad y abrir nuevas oportuni­dades en mercados internacionales.

 

4. Conclusiones

 

Los resultados revelaron que la productividad y sostenibilidad tienen una relación positiva y signifi­cativa con la gestión de insumos agrícolas, por lo que pueden ayudar a optimizar recursos como el uso de fertilizantes, pesticidas y agua, particular­mente promoviendo prácticas agrícolas que mejo­ran los rendimientos y reducen el impacto ambien­tal. La dimensión barreras y desafíos presentó un coeficiente negativo significativo, indicando que factores, como los altos costos iniciales, la resisten­cia al cambio tecnológico y las deficiencias en infra­estructura, limitan la capacidad de los agricultores para gestionar insumos. Por lo tanto, es importante destacar la necesidad de políticas públicas más efectivas, incluidas estrategias de subsidios y finan­ciamiento accesible, así como inversiones en infra­estructura tecnológica y conectividad rural. A pesar de que las dimensiones Acceso a la tecnología, Ca­pacitación y conocimiento e Integración tecnoló­gica no presentaron relaciones significativas con la gestión de insumos agrícolas, su potencial para ca­talizar mejoras en la eficiencia agrícola sugiere que debe seguir siendo prioritaria en futuras investiga­ciones, es así que tecnologías como drones, senso­res remotos y sistemas de riego inteligente tienen un efecto acumulativo positivo en el mediano plazo, siempre que se implemente de manera es­tratégica y adaptada a las condiciones socioeconó­micas de los agricultores, en consecuencia se reco­mienda desarrollar estudios temporales que exami­nen los efectos a largo plazo de las tecnologías de precisión en la sostenibilidad agrícola. También es valioso explorar cómo intervencio­nes específicas, como programas y capacitaciones técnicas, afectan la adopción tecnológica y los resultados agrícolas.

 

ORCID

 

M. Santillán-Gonzáles  https://orcid.org/0009-0001-8791-7262

J. Ganoza-Roncal  https://orcid.org/0009-0008-1033-0261

R. Lobato-Galvez  https://orcid.org/0009-0003-4689-6383

C. Oliva-Cruz  https://orcid.org/0000-0003-1550-8977

D. Arratea-Pillco  https://orcid.org/0000-0003-0703-2913

 

Referencias bibliográficas

 

Abhishek, U., Narendra, S. C., Krishna, P. S., Subir, K. C., Balaji, M. N., Mohit, K., Subeesh, Konga, U., Ali, S., & Ahmed, E. (2025). Deep learning and computer vision in plant disease detection: a comprehensive review of techniques, models, and trends in precision agriculture. Artificial Intelligence Review. https://doi.org/10.1007/s10462-024-11100-x

Aguilar, M. A., Sanchez, J. M., Mercado, W., & Orihuela, J. C. A. (2024). Sustainable Agriculture in Peru Based on Agrobiodiversity and Climate-Smart Agriculture – Evaluation of a Case Study with Small Farmers in an Andean Basin. Journal of Ecological Engineering. https://doi.org/10.12911/22998993/185221

Ali-Кhusein, & Urquhart. (2023). Present and Future Applications of Robotics and Automations in Agriculture. Journal of Robotics Spectrum. https://doi.org/10.53759/9852/jrs202301005

Ali, A., & Kaul, H.-P. (2025). Monitoring Yield and Quality of Forages and Grassland in the View of Precision Agriculture Applications—A Review. Remote Sensing. https://doi.org/10.3390/rs17020279

Alotaibi, B. A., Baig, M. B., Najim, M. M. M., Shah, A. A., & Alamri, Y. A. (2023). Water Scarcity Management to Ensure Food Scarcity through Sustainable Water Resources Management in Saudi Arabia. Sustainability (Switzerland). https://doi.org/10.3390/su151310648

Arana, D. P. R., & Moggiano, N. (2022). Agriculture and water resources: UNFCCC influence on Peruvian adaptation regulations to increase resilience against climate change. Scientia Agropecuaria. https://doi.org/10.17268/sci.agropecu.2022.020

Asem, S., Uyeh, D. D., Adelaja, A., Gebremedhin, K., Srivastava, A., Ileleji, K., Gitau, M., Ha, Y., & Park, T. (2023). An Outlook on Harnessing Technological Innovative Competence in Sustainably Transforming African Agriculture. Global Challenges. https://doi.org/10.1002/gch2.202300033

Aslan, M. F., Durdu, A., Sabanci, K., Ropelewska, E., & Gültekin, S. S. (2022). A Comprehensive Survey of the Recent Studies with UAV for Precision Agriculture in Open Fields and Greenhouses. In Applied Sciences (Switzerland). https://doi.org/10.3390/app12031047

Bajaj, S., Mishra, S., Chouhan, D., Bora, S. S., Parashar, S., Bargi, U. S., & Billore, V. (2023). A Comprehensive Review of Application of RS, GIS and GPS in Agriculture India. International Journal of Environment and Climate Change. https://doi.org/10.9734/ijecc/2023/v13i113428

Bandurin, M. A., Yurchenko, I. F., Bandurina, I. P., & Bandurin, A. P. (2021). Efficient use of water resources to increase agricultural production of rice. In IOP Conference Series: Earth and Environmental Science. https://doi.org/10.1088/1755-1315/845/1/012049

Barbosa, M., Pinheiro, E., Sokulski, C. C., Ramos Huarachi, D. A., & de Francisco, A. C. (2022). How to Identify Barriers to the Adoption of Sustainable Agriculture? A Study Based on a Multi-Criteria Model. Sustainability (Switzerland). https://doi.org/10.3390/su142013277

Barrile, V., Simonetti, S., Citroni, R., Fotia, A., & Bilotta, G. (2022). Experimenting Agriculture 4.0 with Sensors: A Data Fusion Approach between Remote Sensing, UAVs and Self-Driving Tractors. Sensors (Basel, Switzerland). https://doi.org/10.3390/s22207910

Bataille, C., Waisman, H., Briand, Y., Svensson, J., Vogt-Schilb, A., Jaramillo, M., Delgado, R., Arguello, R., Clarke, L., Wild, T., Lallana, F., Bravo, G., Nadal, G., Le Treut, G., Godinez, G., Quiros-Tortos, J., Pereira, E., Howells, M., Buira, D., … Imperio, M. (2020). Net-zero deep decarbonization pathways in Latin America: Challenges and opportunities. Energy Strategy Reviews. https://doi.org/10.1016/j.esr.2020.100510

Bekanov, K. K., Safarov, E., Prenov, S., & Yusupov, B. (2022). Optimization of Agricultural Land Use in Chimbay District of the Republic of Karakalpakstan Using GIS Technologies. International Journal of Geoinformatics. https://doi.org/10.52939/ijg.v18i1.2101

Bentivoglio, D., Bucci, G., Belletti, M., & Finco, A. (2022). A theoretical framework on network’s dynamics for precision agriculture technologies adoption. Revista de Economia e Sociologia Rural. https://doi.org/10.1590/1806-9479.2021.245721

Bilotta, G., Genovese, E., Citroni, R., Cotroneo, F., Meduri, G. M., & Barrile, V. (2023). Integration of an Innovative Atmospheric Forecasting Simulator and Remote Sensing Data into a Geographical Information System in the Frame of Agriculture 4.0 Concept. AgriEngineering. https://doi.org/10.3390/agriengineering5030081

Bragaglio, A., Romano, E., Brambilla, M., Bisaglia, C., Lazzari, A., Giovinazzo, S., & Cutini, M. (2023). A comparison between two specialized dairy cattle farms in the upper Po Valley. Precision agriculture as a strategy to improve sustainability. Cleaner Environmental Systems. https://doi.org/10.1016/j.cesys.2023.100146

Bwambale, E., Abagale, F. K., & Anornu, G. K. (2022). Smart irrigation monitoring and control strategies for improving water use efficiency in precision agriculture: A review. In Agricultural Water Management. https://doi.org/10.1016/j.agwat.2021.107324

Bwambale, E., Joshua Wanyama, Thomas Adongo, Etienne Umukiza, Romain Ntole, Sylvester R. Chikavumbwa, Sibale, D., & Zechariah Jeremaih. (2025). A review of model predictive control in precision agriculture. Smart Agricultural Technology. https://doi.org/10.1016/j.atech.2024.100716

Chapman, S. J. (2018). Review of Discovering Statistics Using IBM SPSS Statistics, 4th Edition . Journal of Political Science Education. https://doi.org/10.1080/15512169.2017.1366328

Chelliah, S. D., & Raj, P. C. B. (2023). Empowering women agripreneurs through precision agriculture technology adoption: An integrative review of literature. Future of Food: Journal on Food, Agriculture and Society. https://doi.org/10.17170/kobra-202307218409

Coluccia, B., Valente, D., Fusco, G., De Leo, F., & Porrini, D. (2020). Assessing agricultural eco-efficiency in Italian Regions. Ecological Indicators. https://doi.org/10.1016/j.ecolind.2020.106483

Danbaki, C. A., Onyemachi, N. C., Gado, D. S. M., Mohammed, G. S., Agbenu, D., & Ikegwuiro, P. U. (2020). Precision Agriculture Technology: A Literature Review. Asian Journal of Advanced Research and Reports. https://doi.org/10.9734/ajarr/2020/v14i330335

DeLay, N. D., Thompson, N. M., & Mintert, J. R. (2022). Precision agriculture technology adoption and technical efficiency. Journal of Agricultural Economics. https://doi.org/10.1111/1477-9552.12440

Dhanasekar, S. (2025). A comprehensive review on current issues and advancements of Internet of Things in precision agriculture. Computer Science Review. https://doi.org/10.1016/j.cosrev.2024.100694

Dhoubhadel, S. P. (2021). Precision agriculture technologies and farm profitability. Journal of Agricultural and Resource Economics. https://doi.org/10.22004/ag.econ.303598

Dimitrijević, M. S. (2023). Technological progress in the function of productivity and sustainability of agriculture: The case of innovative countries and the Republic of Serbia. Journal of Agriculture and Food Research. https://doi.org/10.1016/j.jafr.2023.100856

Erickson, C. L., & Candler, K. L. (2019). Raised Fields and Sustainable Agriculture in the Lake Titicaca Basin of Peru. In Fragile Lands of Latin America. https://doi.org/10.4324/9780429042805-15

Everitt Brian, S. (2011). Cluster analysis. Wiley Series in Probability and Statistics.

Filintas, A. (2021). Soil Moisture Depletion Modelling Using a TDR Multi-Sensor System, GIS, Soil Analyzes, Precision Agriculture and Remote Sensing on Maize for Improved Irrigation-Fertilization Decisions †. Engineering Proceedings. https://doi.org/10.3390/engproc2021009036

Filintas, A., Nteskou, A., Kourgialas, N., Gougoulias, N., & Hatzichristou, E. (2022). A Comparison between Variable Deficit Irrigation and Farmers’ Irrigation Practices under Three Fertilization Levels in Cotton Yield (Gossypium hirsutum L.) Using Precision Agriculture, Remote Sensing, Soil Analyses, and Crop Growth Modeling. Water (Switzerland). https://doi.org/10.3390/w14172654

Finco, A., Bentivoglio, D., Belletti, M., Chiaraluce, G., Fiorentini, M., Ledda, L., & Orsini, R. (2023). Does Precision Technologies Adoption Contribute to the Economic and Agri-Environmental Sustainability of Mediterranean Wheat Production? An Italian Case Study. Agronomy. https://doi.org/10.3390/agronomy13071818

Fu, L., Mao, X., Mao, X., & Wang, J. (2022). Evaluation of Agricultural Sustainable Development Based on Resource Use Efficiency: Empirical Evidence From Zhejiang Province, China. Frontiers in Environmental Science. https://doi.org/10.3389/fenvs.2022.860481

Gardezi, M., Adereti, D. T., Stock, R., & Ogunyiola, A. (2022). In pursuit of responsible innovation for precision agriculture technologies. Journal of Responsible Innovation. https://doi.org/10.1080/23299460.2022.2071668

Garg, S., Rumjit, N. P., & Roy, S. (2024). Smart agriculture and nanotechnology: Technology, challenges, and new perspective. In Advanced Agrochem. https://doi.org/10.1016/j.aac.2023.11.001

Griffin, T. W., Yeager, E., & Ibendahl, G. (2019). Adoption of Precision Agriculture Technology. 22nd International Farm Management Congress.

Haggag, W. M., Ali, R. R., & Al-Ansary, N. A. (2023). Geographic information systems and remote sensing: Innovative tools for plant health. International Journal of Agricultural Technology.

Hair, J. F., Black, W. C., Babin, B. J., & Anderson, R. E. (2010). Multivariate Data Analysis. In Vectors. https://doi.org/10.1016/j.ijpharm.2011.02.019

Hanson, E. D., Cossette, M. K., & Roberts, D. C. (2022). The adoption and usage of precision agriculture technologies in North Dakota. Technology in Society. https://doi.org/10.1016/j.techsoc.2022.102087

Herrera, O., Yuli, R. Á., Peña, G., Andía, V., Hañari, R. D., & Gregorio, O. (2021). A bibliometric analysis of the scientific production related to “zero hunger” as a sustainable development goal: trends of the pacific alliance towards 2030. Agriculture and Food Security. https://doi.org/10.1186/s40066-021-00315-8

Jain, A. K. (2010). Data clustering: 50 years beyond K-means. Pattern Recognition Letters. https://doi.org/10.1016/j.patrec.2009.09.011

Jiménez, R., Ríos, I., San Martín, F., Calle, S., & Huamán, A. (2022). Integration of the Principles of Responsible Investment in Agriculture and Food Systems CFS-RAI from the Local Action Groups: Towards a Model of Sustainable Rural Development in Jauja, Peru. Sustainability (Switzerland). https://doi.org/10.3390/su14159663

Joice, A., Talha Tufaique, Humeera Tazeen, C. Igathinathane, Zhao Zhang, Craig Whippo, John Hendrickson, & David Archer. (2025). Applications of Raspberry Pi for Precision Agriculture—A Systematic Review. Agriculture. https://doi.org/10.3390/agriculture15030227

Karada, M. S., Bajpai, R., Singh, M., Singh, A. K., Agnihotri, D., & Singh, B. K. (2023). A Review on Advances in Agriculture and Agroforestry with GPS and GIS. International Journal of Plant & Soil Science. https://doi.org/10.9734/ijpss/2023/v35i62849

Kavga, A., Thomopoulos, V., Barouchas, P., Stefanakis, N., & Liopa-Tsakalidi, A. (2021). Research on innovative training on smart greenhouse technologies for economic and environmental sustainability. Sustainability (Switzerland). https://doi.org/10.3390/su131910536

Kim, J., Mason, N. M., Mather, D., & Wu, F. (2021). The effects of the national agricultural input voucher scheme (NAIVS) on sustainable intensification of maize production in Tanzania. Journal of Agricultural Economics. https://doi.org/10.1111/1477-9552.12431

Kolady, D. E., Van der Sluis, E., Uddin, M. M., & Deutz, A. P. (2021). Determinants of adoption and adoption intensity of precision agriculture technologies: evidence from South Dakota. Precision Agriculture. https://doi.org/10.1007/s11119-020-09750-2

Koutsos, T., & Menexes, G. (2019). Economic, agronomic, and environmental benefits from the adoption of precision agriculture technologies: A systematic review. International Journal of Agricultural and Environmental Information Systems. https://doi.org/10.4018/IJAEIS.2019010103

Loures, L., Chamizo, A., Ferreira, P., Loures, A., Castanho, R., & Panagopoulos, T. (2020). Assessing the effectiveness of precision agriculture management systems in mediterranean small farms. Sustainability (Switzerland). https://doi.org/10.3390/su12093765

Majeed, Y., Khan, M. U., Waseem, M., Zahid, U., Mahmood, F., Majeed, F., Sultan, M., & Raza, A. (2023). Renewable energy as an alternative source for energy management in agriculture. In Energy Reports. https://doi.org/10.1016/j.egyr.2023.06.032

Marinus, W., van de Ven, G. W., Descheemaeker, K., Vanlauwe, B., & Giller, K. E. (2023). Farmer responses to an input subsidy and co-learning program: intensification, extensification, specialization, and diversification? Agronomy for Sustainable Development. https://doi.org/10.1007/s13593-023-00893-w

McLennon, E., Dari, B., Jha, G., Sihi, D., & Kankarla, V. (2021). Regenerative agriculture and integrative permaculture for sustainable and technology driven global food production and security. Agronomy Journal. https://doi.org/10.1002/agj2.20814

Medel, F., Krexner, T., Gronauer, A., & Kral, I. (2024). Life cycle assessment of four different precision agriculture technologies and comparison with a conventional scheme. Journal of Cleaner Production. https://doi.org/10.1016/j.jclepro.2023.140198

Medici, M., Pedersen, S. M., Canavari, M., Anken, T., Stamatelopoulos, P., Tsiropoulos, Z., Zotos, A., & Tohidloo, G. (2021). A web-tool for calculating the economic performance of precision agriculture technology. Computers and Electronics in Agriculture. https://doi.org/10.1016/j.compag.2020.105930

Méndez, C., Salazar, J., Rengifo, C. F., Corrales, J. C., & Figueroa, A. (2022). A Multidisciplinary Approach Integrating Emergy Analysis and Process Modeling for Agricultural Systems Sustainable Management—Coffee Farm Validation. Sustainability (Switzerland). https://doi.org/10.3390/su14148931

Mertler, C. A., Vannatta, R. A., & LaVenia, K. N. (2021). Multivariate Analysis of Variance and Covariance. In Advanced and Multivariate Statistical Methods. https://doi.org/10.4324/9781003047223-6

Mesfin, H., Tessema, Y. M., Tirivayi, N., & Nillesen, E. (2023). Effective Knowledge Transmission and Learning in Agriculture: Evidence from a Randomised Training Experiment in Ethiopia. Africa Development. https://doi.org/10.57054/ad.v48i1.3039

Michailidis, A., Charatsari, C., Bournaris, T., Loizou, E., Paltaki, A., Lazaridou, D., & Lioutas, E. D. (2024). A First View on the Competencies and Training Needs of Farmers Working with and Researchers Working on Precision Agriculture Technologies. Agriculture (Switzerland). https://doi.org/10.3390/agriculture14010099

Mitchell, S., Weersink, A., & Bannon, N. (2021). Adoption barriers for precision agriculture technologies in canadian crop production. Canadian Journal of Plant Science. https://doi.org/10.1139/cjps-2020-0234

Mohammed, A. K. O., Afroj, A., & Yousuf, H. (2025). Smart Sensor Technologies Shaping the Future of Precision Agriculture: Recent Advances and Future Outlooks. Journal of Sensors. https://doi.org/10.1155/js/2460098

Monteiro, A., & Santos, S. (2022). Sustainable Approach to Weed Management: The Role of Precision Weed Management. In Agronomy. https://doi.org/10.3390/agronomy12010118

Mozambani, C. I., de Souza Filho, H. M., Vinholis, M. de M. B., & Carrer, M. J. (2023). Adoption of precision agriculture technologies by sugarcane farmers in the state of São Paulo, Brazil. Precision Agriculture. https://doi.org/10.1007/s11119-023-10019-7

Nowak, B. (2021). Precision Agriculture: Where do We Stand? A Review of the Adoption of Precision Agriculture Technologies on Field Crops Farms in Developed Countries. In Agricultural Research. https://doi.org/10.1007/s40003-021-00539-x

Nyaga, J. M., Onyango, C. M., Wetterlind, J., & Söderström, M. (2021). Precision agriculture research in sub-Saharan Africa countries: a systematic map. Precision Agriculture. https://doi.org/10.1007/s11119-020-09780-w

Ovchinnikov, A., & Afanasyeva, Y. (2023). “Precision farming” as a concept for big data management in agriculture. Russian Journal of Resources, Conservation and Recycling. https://doi.org/10.15862/03nzor123

Pande, C. B., & Moharir, K. N. (2023). Application of Hyperspectral Remote Sensing Role in Precision Farming and Sustainable Agriculture Under Climate Change: A Review. In Springer Climate. https://doi.org/10.1007/978-3-031-19059-9_21

Petrović, B., Bumbálek, R., Zoubek, T., Kuneš, R., Smutný, L., & Bartoš, P. (2024). Application of precision agriculture technologies in Central Europe-review. In Journal of Agriculture and Food Research. https://doi.org/10.1016/j.jafr.2024.101048

Piccoli, F., Locatelli, S. G., Schettini, R., & Napoletano, P. (2023). An Open-Source Platform for GIS Data Management and Analytics. Sensors. https://doi.org/10.3390/s23083788

Priya, & Singh, S. P. (2024). Factors Influencing the Adoption of Sustainable Agricultural Practices: A Systematic Literature Review and Lesson Learned for India. In Forum for Social Economics. https://doi.org/10.1080/07360932.2022.2057566

Rehman, A., Abunadi, I., Haseeb, K., Saba, T., & Lloret, J. (2024). Intelligent and trusted metaheuristic optimization model for reliable agricultural network. Computer Standards and Interfaces. https://doi.org/10.1016/j.csi.2023.103768

Roberts, M., Hawes, C., & Young, M. (2023). Environmental management on agricultural land: Cost benefit analysis of an integrated cropping system for provision of environmental public goods. Journal of Environmental Management. https://doi.org/10.1016/j.jenvman.2023.117306

Rode, J., Escobar, M. M., Khan, S. J., Borasino, E., Kihumuro, P., Okia, C. A., Robiglio, V., & Zinngrebe, Y. (2023). Providing targeted incentives for trees on farms: A transdisciplinary research methodology applied in Uganda and Peru. In Earth System Governance. https://doi.org/10.1016/j.esg.2023.100172

Rojas, N. B., García, L., Cotrina, A., Goñas, M., Salas, R., Silva, J. O., & Oliva, M. (2022). Land Suitability for Cocoa Cultivation in Peru: AHP and MaxEnt Modeling in a GIS Environment. Agronomy. https://doi.org/10.3390/agronomy12122930

Romani, L. A. S., Evangelista, S. R. M., Vacari, I., Apolinário, D. R. F., Vaz, G. J., Speranza, E. A., Barbosa, L. A. F., Drucker, D. P., & Massruhá, S. M. F. S. (2023). AgroAPI platform: An initiative to support digital solutions for agribusiness ecosystems. Smart Agricultural Technology. https://doi.org/10.1016/j.atech.2023.100247

Saini, A. K., Anshul Kumar Yadav, & Dhiraj. (2025). A Comprehensive review on technological breakthroughs in precision agriculture: IoT and emerging data analytics. European Journal of Agronomy. https://doi.org/10.1016/j.eja.2024.127440

Saleem, S. R., Levison, J., & Haroon, Z. (2023). Environment: role of precision agriculture technologies. In Precision Agriculture: Evolution, Insights and Emerging Trends. https://doi.org/10.1016/B978-0-443-18953-1.00012-X

Seleiman, M. F., & Hafez, E. M. (2021). Optimizing Inputs Management for Sustainable Agricultural Development. In Springer Water. https://doi.org/10.1007/978-3-030-64323-2_18

Serrano, J., Shahidian, S., Da Silva, J. M., Paixão, L., Carreira, E., Pereira, A., & Carvalho, M. (2020). Climate changes challenges to the management of mediterranean montado ecosystem: Perspectives for use of precision agriculture technologies. Agronomy. https://doi.org/10.3390/agronomy10020218

Shah, F., & Wu, W. (2019). Soil and Crop Management Strategies to Ensure Higher Crop Productivity within Sustainable Environments. Sustainability. https://doi.org/10.3390/su11051485

Sheikh, M., Shahzad, I., Simona, M. P., Song, L. K., Yong, S. C., & Jeong-Ho, B. (2025). Integration of smart sensors and IOT in precision agriculture: trends, challenges and future prospectives. Frontiers in Plant Science. https://doi.org/10.3389/fpls.2025.1587869

Shikuku, K. M., Pieters, J., Bulte, E., & Läderach, P. (2019). Incentives and the Diffusion of Agricultural Knowledge: Experimental Evidence from Northern Uganda. American Journal of Agricultural Economics. https://doi.org/10.1093/ajae/aaz010

Shrestha, J., Subedi, S., Timsina, K. P., Subedi, S., Pandey, M., Shrestha, A., Shrestha, S., & Hossain, M. A. (2021). Sustainable Intensification in Agriculture: An Approach for Making Agriculture Greener and Productive. Journal of Nepal Agricultural Research Council. https://doi.org/10.3126/jnarc.v7i1.36937

Siegel, S., & Castellan Jr., N. J. (1988). Nonparametric statistics for the behavioral sciences, 2nd ed. Nonparametric Statistics for the Behavioral Sciences, 2nd Ed.

Singh, G., & Sandeep Sharma. (2025). A comprehensive review on the Internet of Things in precision agriculture. Multimedia Tools and Applications. https://doi.org/10.1007/s11042-024-19656-0

Sun, C., Zhou, J., Ma, Y., Xu, Y., Pan, B., & Zhang, Z. (2022). A review of remote sensing for potato traits characterization in precision agriculture. In Frontiers in Plant Science. https://doi.org/10.3389/fpls.2022.871859

Tataridas, A., Kanatas, P., Chatzigeorgiou, A., Zannopoulos, S., & Travlos, I. (2022). Sustainable Crop and Weed Management in the Era of the EU Green Deal: A Survival Guide. Agronomy. https://doi.org/10.3390/agronomy12030589

Thakur, D., Kumar, Y., Kumar, A., & Singh, P. K. (2019). Applicability of Wireless Sensor Networks in Precision Agriculture: A Review. In Wireless Personal Communications. https://doi.org/10.1007/s11277-019-06285-2

Thompson, N. M., Bir, C., Widmar, D. A., & Mintert, J. R. (2019). Farmer perceptions of precision agriculture technology benefits. Journal of Agricultural and Applied Economics. https://doi.org/10.1017/aae.2018.27

Triyono, Rahmawati, N., & Rozaki, Z. (2021). Sustainable value of rice farm based on economic efficiency in Yogyakarta, Indonesia. Open Agriculture. https://doi.org/10.1515/opag-2021-0039

Vahdanjoo, M., Gislum, R., & Sørensen, C. A. G. (2023). Operational, Economic, and Environmental Assessment of an Agricultural Robot in Seeding and Weeding Operations. AgriEngineering. https://doi.org/10.3390/agriengineering5010020

Vatsanidou, A., Fountas, S., Liakos, V., Nanos, G., Katsoulas, N., & Gemtos, T. (2020). Life cycle assessment of variable rate fertilizer application in a pear orchard. Sustainability (Switzerland). https://doi.org/10.3390/SU12176893

Vela, A. L. M. (2024). Proposal of the Theory of Anti-Lethargy of Small Farmers Based on the Analysis of Sustainable Governance Peru 2022. World Journal of Agricultural Science and Technology. https://doi.org/10.11648/j.wjast.20240201.15

Verma, B., Porwal, M., Jha, A. K., Vyshnavi, R. G., Rajpoot, A., & Nagar, A. K. (2023). Enhancing Precision Agriculture and Environmental Monitoring Using Proximal Remote Sensing. Journal of Experimental Agriculture International. https://doi.org/10.9734/jeai/2023/v45i82168

Vinichenko, I., Tkachenko, S., Sereda, O., Prus, Y., & Pochernina, N. (2021). Imperatives of Efficient Use of Land and Resource Potential of the Agricultural Enterprises of Ukraine. Scientific Horizons. https://doi.org/10.48077/SCIHOR.24(4).2021.72-89

Vrchota, J., Pech, M., & Švepešová, I. (2022). Precision Agriculture Technologies for Crop and Livestock Production in the Czech Republic. Agriculture (Switzerland). https://doi.org/10.3390/agriculture12081080

Vullaganti, N., Ram, B., & Sun, X. (2025). Precision agriculture technologies for soil site-specific nutrient management: A comprehensive review. Artificial Intelligence in Agriculture. https://doi.org/10.1016/j.aiia.2025.02.001

Wadghane, R. (2022). Sustainability Management Status of Agro-Ecosystems: A Case Study of Sugarcane Farmers in Shevgaon and Paithan (Sub-Districts) of Maharashtra, India. Agricultural Research. https://doi.org/10.1007/s40003-022-00617-8

Yadav, S. P. S., Lahutiya, V., Ghimire, N. P., Yadav, B., & Paudel, P. (2023). Exploring innovation for sustainable agriculture: A systematic case study of permaculture in Nepal. Heliyon. https://doi.org/10.1016/j.heliyon.2023.e15899

Zaman, Q. U. (2023). Precision agriculture technology: A pathway toward sustainable agriculture. In Precision Agriculture: Evolution, Insights and Emerging Trends. https://doi.org/10.1016/B978-0-443-18953-1.00013-1

Zhang, Z., & Lu, C. (2020). Clustering analysis of soybean production to understand its spatiotemporal dynamics in the North China plain. Sustainability (Switzerland). https://doi.org/10.3390/su12156178

Zhou, Y., Xu, X., Li, M., Zhang, X., & Cao, K. (2022). Risk regulation of water allocation in irrigation areas under changing water supply and demand conditions. Journal of Environmental Management. https://doi.org/10.1016/j.jenvman.2


 

ANEXOS

Anexo 1

Cuestionario usado para la toma de datos

 

Variable 1: Uso de tecnología de precisión

COD

Dimensiones y ítems

 

D1: Acceso a la tecnología / Ítems

E11

1. Encuentra usted tecnologías de precisión adecuadas para sus cultivos disponibles en el mercado local.

E12

2. Considera usted que las tecnologías de precisión son disponibles en el mercado local

E13

3. Tienes acceso a opciones de financiamiento o créditos específicos para la compra de tecnología de precisión.

E14

4. Considera usted que, los programas de financiamiento disponibles son adecuados y suficientes para cubrir el costo de la tecnología de precisión.

E15

5. Tienes acceso a asistencia técnica y soporte para el uso de la tecnología de precisión

E16

6. La infraestructura local (como conectividad a internet y servicios de mantenimiento) soporta efectivamente el uso de tecnología de precisión.

 

D2: Capacitación y conocimiento / Ítems

E21

7. Usted ha recibido formación formal que incluye el uso de tecnologías de precisión.

E22

8. Usted ha participa en programas educativos continuos que actualizan sus conocimientos sobre tecnologías de precisión.

E23

9. Usted tiene acceso a programas de capacitación específicos para tecnologías de precisión ofrecidos por instituciones técnicas o agrícolas.

E24

10. Considera que los programas de capacitación abordan de manera efectiva las necesidades prácticas de los agricultores en el uso de tecnología de precisión.

E25

11. Puede demostrar un entendimiento claro de los beneficios de las tecnologías de precisión para sus operaciones agrícolas.

E26

12. Usted aplica de manera efectiva las tecnologías de precisión en sus prácticas agrícolas después de recibir capacitación.

 

D3: Integración tecnológica / Ítems

E31

13. Usted utiliza sistemas de información geográfica (SIG) para monitorear sus cultivos.

E32

14. Usted integra datos de SIG en la toma de decisiones agrícolas para mejorar la productividad.

E33

15. Usted emplea sensores remotos para obtener información detallada sobre el estado de sus cultivos.

E34

16. Usted utiliza la información obtenida de sensores remotos para ajustar sus prácticas de manejo de cultivos.

E35

17. Usted utiliza drones para la vigilancia y mapeo de sus terrenos agrícolas.

E36

18. Utiliza los datos recopilados por drones para mejorar las estrategias de irrigación y aplicación de pesticidas.

 

D4: Productividad y sostenibilidad / Ítems

E41

19. Al utilizar la tecnología de precisión experimenta un aumento en los rendimientos de sus cultivos comparado con métodos tradicionales.

E42

20. Considera que la implementación de tecnología de precisión ha resultado en una producción más consistente y predecible.

E43

21. Considera que la tecnología de precisión ayuda a los agricultores a reducir el desperdicio de recursos como agua y fertilizantes.

E44

22. Considera que la tecnología de precisión contribuye a un uso eficiente de los insumos agrícolas.

E45

23. Considera que el uso de tecnología de precisión mejora la calidad general de los productos agrícolas, como la apariencia, el tamaño y el contenido nutricional.

E46

24. Usted observa una mejora en la satisfacción del cliente debido a la mayor calidad de los productos agrícolas obtenidos con tecnología de precisión.

 

D5: Barreras y desafíos / Ítems

E51

25. Considera que el costo de adquisición de tecnología de precisión es una barrera significativa para su implementación.

E52

26. Considera que los costos de mantenimiento de la tecnología de precisión impiden su uso continuo.

E53

27. Considera que puede adoptar las nuevas tecnologías de precisión.

E54

28. Considera que la falta de familiaridad con la tecnología de precisión contribuye a que no acepte este cambio.

E55

29. Considera que la falta de infraestructura adecuada (internet o electricidad) limita el uso de tecnología de precisión.

E56

30. Considera que los problemas de conectividad impiden el uso efectivo de tecnología de precisión.

Variable 2: Gestión de insumos agrícolas

 

D1: Uso eficiente de recursos / Ítems

R11

1. Usted dosifica el uso de fertilizantes y pesticidas basándose en las recomendaciones técnicas para cada cultivo.

R12

2. Realiza usted el estudio del suelo para determinar la cantidad precisa de fertilizantes y pesticidas necesarios.

R13

3. Utilizo sistemas de riego tecnificados que permiten el uso eficiente del agua.

R14

4. Aplico prácticas de riego adecuadas para minimizar el desperdicio de agua.

R15

5. Utiliza usted semillas mejoradas para asegurar un mayor rendimiento.

R16

6. Aplica usted técnicas de cultivo avanzadas para mejorar la productividad.

 

D2: Impacto ambiental / Ítems

R21

7. Realiza algún tipo de análisis para detectar niveles de residuos químicos en el suelo y el agua.

R22

8. Implementa medidas para reducir los residuos químicos en el suelo y el agua.

R23

9. Aplica prácticas de manejo del suelo para minimizar la erosión.

R24

10. Evalúa la efectividad de sus prácticas para controlar la erosión del suelo.

R25

11. Realiza acciones específicas para conservar la biodiversidad en sus terrenos.

R26

12. Implementa técnicas para reducir la emisión de gases nocivos.

R27

13. Usted monitorea las emisiones de gases de efecto invernadero provenientes de sus prácticas agrícola.

 

D3: Salud del suelo / Ítems

R31

14. Realiza algún tipo de análisis de suelo para medir los niveles de materia orgánica.

R32

15. Usted incorpora prácticas de compostaje o abonos verdes para aumentar la materia orgánica en el suelo.

R33

16. Usted aplica técnicas que promueven la actividad microbiana del suelo.

R34

17. Usted aplica técnicas que promueven la actividad microbiana del suelo.

R35

18. Usted evalúa la salud microbiológica del suelo.

R36

19. Realiza labores de suelo que mejoran su estructura.

R37

20. Realiza pruebas de fertilidad del suelo para ajustar la aplicación de nutrientes.

R38

21. Utiliza técnicas que mejoran la capacidad del suelo para retener agua y nutrientes.

R39

22. Adapta sus prácticas de riego para maximizar la retención de agua en el suelo.

 

D4: Sostenibilidad de la producción / Ítems

R41

23. Logra rendimientos superiores a la media regional utilizando prácticas de gestión de insumos eficientes.

R42

24. Realiza evaluaciones del rendimiento de sus cultivos para mejorar sus técnicas de cultivo.

R43

25. Utiliza variedades de cultivos que son resistentes a plagas locales.

R44

26. Implementa medidas preventivas para proteger sus cultivos de enfermedades.

R45

27. Aplica técnicas como la rotación de cultivos para mantener la salud del suelo.

R46

28. Practica la agricultura orgánica para promover la sostenibilidad de sus tierras.

R47

29. Utiliza biofertilizantes como alternativa a los fertilizantes químicos.

R48

30. Emplea biocarbón para mejorar la fertilidad del suelo y la retención de agua.

 

D5: Impacto socioeconómico / Ítems

R51

31. Considera que los costos de insumos agrícolas representan una parte significativa de sus gastos de producción.

R52

32. Logra reducir sus costos de producción mediante la gestión eficiente de insumos.

R53

33. Tienen fácil acceso a los insumos agrícolas necesarios para sus cultivos.

R54

34. Considera que los insumos agrícolas disponibles son asequibles.

R55

35. Usted recibe formación sobre prácticas de manejo sostenible de insumos.

R56

36. Usted aplica prácticas de manejo sostenible que aprendieron en capacitaciones.

R57

37. Considera que la gestión eficiente de insumos agrícolas mejora la seguridad alimentaria en la comunidad.

R58

38. Considera que su gestión con los insumos contribuye a una mayor estabilidad en la producción agrícola.