Distribución espacial de Trichogramma spp. en cultivos de la Región Lambayeque, Perú

 

Spatial distribution of Trichogramma spp. in crops of the Lambayeque Region, Peru

 

Eleazar Manuel Rufasto-Campos1 *; José Wilson Gómez-Cumpa1; Jorge Luis Saavedra-Díaz1;

Delvis Sánchez Díaz1; Angel Larry Acuña Tullume1

 

1 Universidad Nacional Pedro Ruiz Gallo, Lambayeque, Perú.

 

ORCID de los autores:

E. M. Rufasto-Campos: https://orcid.org/0000-0001-9214-1852       J. W. Gómez-Cumpa: https://orcid.org/0000-0001-7071-6248 

J. L. Saavedra-Díaz: https://orcid.org/0000-0001-9907-0962       D. Sánchez Díaz: https://orcid.org/0000-0003-0161-0620

A. L. Acuña Tullume: https://orcid.org/0009-0003-3578-4167 

 

 

 

RESUMEN

 

Se investiga la distribución espacial de Trichogramma spp. en la región Lambayeque, Perú, evaluando su potencial como agente de control biológico de plagas lepidópteras en agroecosistemas. Se recolectaron datos entre enero y junio de 2024 en distritos clave como Lambayeque, Ferreñafe y Chiclayo, utilizando trampas centinela con huevos de Sitotroga cerealella. Los resultados revelan una alta eficacia de parasitismo (>75%) en áreas como Lambayeque, Motupe y Salas, mientras que sitios como Cayaltí y Chilcal no registraron actividad parasítica. La distribución observada sugiere la influencia de factores como la densidad de huevos y el microclima. Sin embargo, el análisis se vio limitado por un tamaño de muestra reducido (14 registros válidos), lo que afectó la potencia estadística para comparar especies hospedadoras y ubicaciones. Las pruebas de Kruskal-Wallis no encontraron diferencias significativas (p > 0,05), y los modelos de regresión explicaron solo el 59,7% de la varianza, restringidos por la ausencia de datos ambientales como temperatura y tipo de cultivo. Se empleó la herramienta geoespacial Kriging para mapear la distribución, revelando patrones heterogéneos que establecen una base crucial para futuras investigaciones. El estudio concluye que Trichogramma spp. tiene potencial para el control de plagas en ciertas áreas de Lambayeque, pero recomienda ampliar el muestreo, incluir variables climáticas y realizar identificaciones moleculares de especies. Futuras investigaciones deberían explorar enfoques integrados con hongos entomopatógenos para optimizar las estrategias de liberación dirigida y promover la agricultura sostenible en la región.

 

Palabras clave: Trichogramma; Control biológico; Lepidópteros; Lambayeque; Parasitismo; Agroecosistemas. 

 

 

ABSTRACT

 

This study investigates the spatial distribution of *Trichogramma* spp. in the Lambayeque region of Peru, assessing its potential as a biological control agent against lepidopteran pests in agroecosystems.** Data were collected between January and June 2024 in key districts such as Lambayeque, Ferreñafe, and Chiclayo, using sentinel traps baited with Sitotroga cerealella eggs. The results reveal high parasitism efficacy (>75%) in areas such as Lambayeque, Motupe, and Salas, while locations like Cayaltí and Chilcal recorded no parasitic activity. The observed distribution suggests the influence of factors such as egg density and microclimatic conditions. However, the analysis was limited by a small sample size (14 valid records), which affected the statistical power for comparing host species and locations. Kruskal-Wallis tests found no significant differences (p > 0.05), and regression models explained only 59.7% of the variance, constrained by the lack of environmental data such as temperature and crop type. The Kriging geospatial tool was used to map distribution, revealing heterogeneous patterns that provide a crucial foundation for future research. The study concludes that Trichogramma spp. has potential for pest control in specific areas of Lambayeque but recommends expanding sampling efforts, including climatic variables, and conducting molecular identification of species. Future research should explore integrated approaches with entomopathogenic fungi to optimize targeted release strategies and promote sustainable agriculture in the region.

 

Keywords: Trichogramma; Biological control; Lepidoptera; Lambayeque; Parasitism; Agroecosystems.

 

 


1. Introducción

El control biológico se ha consolidado como un pilar esencial del manejo integrado de plagas, especialmente en sistemas agrícolas intensivos donde el uso excesivo de insecticidas químicos ha generado resistencia en las plagas, desequilibrios ecológicos y riesgos para la salud humana y ambiental, como señalan Zang et al. (2021). Dentro de los agentes de control biológico, los parasitoides del género Trichogramma, pertenecientes a la familia Trichogrammatidae, destacan por su eficacia en la supresión de huevos de lepidópteros plaga, ofreciendo ventajas como adaptabilidad, bajo costo y compatibilidad con prácticas agrícolas sostenibles, según investigaciones de Parra y Coelho (2022). Estos parasitoides han demostrado éxito en diversos cultivos a nivel mundial, con aplicaciones notables en maíz, arroz y huertos frutales, como reportan Smith & Tabashnik (2023) y Zang et al. (2021). El uso de Trichogramma spp. como agentes de control biológico ha ganado relevancia en los últimos años (Abdel Halim et al., 2025; Zhu et al., 2025), destacando su potencial para integrarse con métodos como la irradiación gamma y la selección de insecticidas compatibles, aunque persisten desafíos en su distribución y adaptación local (He et al., 2025).

La región Lambayeque, ubicada en la costa norte del Perú, presenta condiciones agroclimáticas que favorecen la proliferación de plagas de lepidópteros en cultivos económicamente importantes como arroz, maíz y frutales. Estas plagas representan una amenaza significativa para la productividad agrícola y la economía local. Sin embargo, la aplicación de Trichogramma en esta zona es limitada debido a la escasez de datos locales sobre su distribución espacial, eficacia en campo y los factores que influyen en su dispersión, una carencia que dificulta el desarrollo de estrategias de liberación dirigidas, el monitoreo eficiente y la evaluación de impacto, según estudios de Agboyi et al. (2020) y Morales et al. (2023). Esta falta de información local implica que los programas de control biológico con Trichogramma en Lambayeque son incipientes o no están sistemáticamente documentados, lo que subraya la necesidad crítica de investigaciones de base. En este contexto, el objetivo del presente estudio fue analizar los datos de parasitismo recolectados en campo mediante herramientas estadísticas y geoespaciales para identificar patrones de distribución de Trichogramma spp. en agroecosistemas de Lambayeque. Este análisis buscó establecer bases para diseñar estrategias efectivas de liberación, mejorar los protocolos de monitoreo y optimizar la evaluación de los resultados del control biológico en la región, proporcionando una comprensión inicial indispensable para futuras intervenciones.

 

2. Metodología

Este estudio estuvo orientado a caracterizar la distribución espacial de Trichogramma spp. en agroecosistemas de la región Lambayeque, Perú. Este enfoque permitió describir la abundancia relativa de los parasitoides y analizar su relación con factores agroclimáticos y espaciales, siguiendo metodologías validadas en estudios de entomología aplicada y biogeografía de enemigos naturales (Bográn et al., 2002; Denys & Tscharntke, 2002; Morales et al., 2023).

 

2.1. Área y diseño de muestreo

El trabajo de campo se llevó a cabo entre enero y junio de 2024 en parcelas agrícolas de los distritos de Lambayeque, Ferreñafe y Chiclayo, seleccionados por su relevancia económica como zonas productoras de arroz, maíz, caña de azúcar y frutales, y por registros históricos de infestaciones por lepidópteros plaga (SENASA, 2022). Se implementó un diseño de muestreo sistemático con puntos georreferenciados, adaptando protocolos internacionales para la evaluación de parasitoides (Morales et al., 2023). Cada punto de muestreo se consideró como una parcela de muestreo con un área de 100 m² y se dividió en cuadrículas con un mínimo de 10 puntos de submuestreo por cada parcela, ajustados según el tamaño del área y la heterogeneidad del cultivo. Los datos de los 10 puntos de submuestreo dentro de cada parcela de 100 m² se agregaron para obtener un único registro representativo de parasitismo para esa parcela.

 

2.2. Colecta de especímenes

La colecta de Trichogramma spp. se realizó mediante trampas centinela con huevos de Sitotroga cerealella (Lepidoptera: Gelechiidae) como hospedero sustituto, siguiendo protocolos estandarizados (Parra & Coelho, 2022; Nurindah et al., 2020). Se recolectaron masas ovígeras de lepidópteros directamente en el campo. La identificación de estos huevos de hospederos naturales (como Diatraea saccharalis y Galleria mellonella) se realizó sistemáticamente en todos los puntos de muestreo mediante comparación con colecciones entomológicas de referencia del museo de Entomología de la Universidad Nacional Pedro Ruiz Gallo. Los especímenes de Trichogramma se preservaron en etanol al 70% y se identificaron morfológicamente utilizando claves taxonómicas especializadas. Es impor-tante señalar que la identificación morfológica de Trichogramma spp. puede ser desafiante debido a la existencia de complejos de especies crípticas, lo que implica una limitación en la precisión a nivel de especie de los hallazgos del presente estudio.

 

2.3. Construcción de la base de datos

Los datos se organizaron en una tabla maestra que incluyó las siguientes variables: coorde-nadas UTM (zona 17S), distrito, fecha de colecta, número de trampas centinela, especie hospe-dadora, número de huevos parasitados y porcentaje de parasitismo. Se realizó una limpieza rigurosa de los datos, estandarizando nombres y eliminando registros con inconsis-tencias. La reducción de 91 registros iniciales a 14 registros válidos (una pérdida del 84,6%) se debió principalmente a errores en las coorde-nadas geográficas y a datos incompletos. Esta alta tasa de invalidación de datos sugiere problemas sistémicos en los protocolos de recolección de campo o en la gestión inicial de los datos, lo que subraya la necesidad de implementar verificaciones de validación más robustas durante la recolección en futuros estudios. Los valores de porcentaje de parasitismo superiores al 100% (por ejemplo, 243,75%, 250%, 881,25%) se ajustaron al 100%, tratándose como anomalías de datos que podrían indicar sobreparasitismo biológico o, más probablemente, errores de entrada de datos. La base de datos se gestionó en formato CSV y se verificó mediante software estadístico R (versión 4.4.1) para garantizar su integridad antes del análisis.

 

2.4. Análisis estadístico

Se llevaron a cabo los siguientes procedimientos: se cargó el archivo Tabla Maestra Trichogramma.csv, que contenía 91 registros, estandarizando los nombres de las especies hospedadoras (Sitotroga, Diatraea, Galleria) y corrigiendo inconsistencias ortográficas (por ejemplo, "Sitotroga" a Sitotroga y "Diatraea" / "diataea" / "diatrea" a Diatraea). Se eliminaron filas con valores faltantes en variables críticas (Huevos_parasitados, %_Parasitismo, Lugar, Coord_X, Coord_Y) para obtener los 14 registros válidos. Se calcularon la media, la desviación estándar y el rango del porcentaje de parasitismo por lugar y especie hospedadora utilizando el software R (versión 4.4.1). Se verificó la no normalidad de los datos mediante la prueba de Shapiro-Wilk (p < 0,05) y se aplicó la prueba de Kruskal-Wallis para comparar los niveles de parasitismo entre especies hospedadoras y lugares, generando diagramas de caja (boxplots) para visualizar las diferencias. Se categorizaron los porcentajes de parasitismo en rangos (0%, 1% – 25%, 26% – 50%, 51% – 75%, >75%) para evaluar la intensidad por lugar y especie. Se ajustó un modelo de regresión lineal múltiple para evaluar la influencia de la especie hospe-dadora y el lugar en el porcentaje de parasitismo, verificando supuestos de linealidad mediante gráficos de residuos y multicolinealidad con un índice de inflación de la varianza (VIF) menor a 5. Es importante señalar que la ausencia de datos sobre temperatura y tipo de cultivo impidió su inclusión en el modelo, lo que representa una limitación significativa para la capacidad explicativa del estudio. Finalmente, se realizó un análisis de componentes principales (PCA) con las variables numéricas (Huevos_parasitados, %_Parasitismo, N_trampas) para identificar patrones en los datos utilizando la función prcomp en R con datos escalados.

 

2.5. Análisis espacial

El análisis espacial se realizó mediante el software QGIS Desktop 3.28.11, empleando un enfoque biogeográfico para representar y modelar la distribución de Trichogramma spp. en la región Lambayeque. Para la interpolación de datos puntuales georreferenciados, se aplicó el método Kriging ordinario, apropiado para modelar patrones espaciales a partir de semivariogramas en áreas con mayor densidad de muestreo (Hengl & de Jesus, 2021). Los mapas temáticos generados incluyeron simbología graduada en rangos de parasitismo (0 – 100%), clasificados según intervalos ecológicamente significativos por especie hospedadora. Cada mapa incorporó elementos cartográficos fundamentales como escala gráfica, flecha de norte, leyenda diferenciada por niveles de incidencia, base satelital de Google y proyección UTM zona 17S. Adicionalmente, se integraron capas vectoriales correspondientes a límites administrativos (distritos y delimitación regional) y puntos de incidencia biológica registrados en campo. La representación espacial se basó en modelos conceptuales de dispersión de parasitoides en agroecosistemas heterogéneos (Gardner et al., 2012; Burte et al., 2023a; Burte et al., 2023b), así como en recomendaciones actualizadas para el manejo geoespacial del control biológico en condiciones climáticas variables (Tyagi & Kumar, 2024). Asimismo, se consideraron principios biogeo-gráficos de agregación, fragmentación y conectividad ecológica para interpretar los patrones observados (Smith & Tabashnik, 2023). Finalmente, los mapas fueron exportados en formatos vectoriales (.svg,.geojson) y ráster (.png), generando insumos para análisis complementarios y visualización integradora de las interacciones parasitoide–hospedero en el territorio de estudio.

 

3. Resultados y discusión

Los datos recolectados entre enero y junio de 2024 en los distritos de Lambayeque, Ferreñafe y Chiclayo, región Lambayeque, Perú, fueron analizados para caracterizar la distribución y el porcentaje de parasitismo de Trichogramma spp. en agroecosistemas. A continuación, se descri-ben los procedimientos realizados.

 

3.1. Evidencias estadísticas

3.1.1. Estadística descriptiva

La Tabla 1 presenta las estadísticas descriptivas del porcentaje de parasitismo por lugar y especie hospedadora. En Lambayeque, Motupe, Pítipo, Salas y Collique Bajo campo habilitados, el parasitismo de Sitotroga alcanzó un promedio de 100%, mientras que Motupe también mostró un 100% para Diatraea. El fundo San Agustín (distrito Motupe) registró un promedio de 53,12% para Sitotroga. Otros lugares, como Cayaltí en los sectores campo 1 habilitado, Chilcal, Ferreñafe, Monsefú y Reque, presentaron un 0% de parasitismo para ambas especies. Las desviaciones estándar no se calcularon en la mayoría de los casos debido a que solo había una observación válida por combinación de lugar y especie tras la limpieza de datos

 

3.1.2. Comparaciones entre grupos

La prueba de Kruskal-Wallis para el porcentaje de parasitismo por especie arrojó un valor de χ² = 3,20, df = 1, p = 0,073, indicando que no hay diferencias estadísticamente significativas entre las trampas centinela Sitotroga y Diatraea. Para los lugares, el resultado fue χ² = 10,49, df = 9, p = 0,174, sugiriendo que las diferencias entre distritos no son significativas. Es crucial señalar que, a pesar de la falta de significancia esta-dística, los patrones descriptivos de parasitismo son claramente evidentes en la Tabla 1 y en los diagramas de caja (Figuras 5 y 6). La ausencia de significancia se atribuye principalmente al tamaño de muestra severamente limitado (14 registros válidos), lo que reduce la potencia estadística para detectar diferencias biológicas reales. Estos patrones deben interpretarse como hipótesis para futuras investigaciones con un muestreo más robusto.

 

3.2. Distribución espacial del parasitismo por Trichogramma spp. en la región Lambayeque

La interpolación espacial de la actividad de Trichogramma spp. sobre huevos de lepidópteros hospederos permitió identificar patrones geográficos diferenciados según especie, revelando zonas críticas y áreas de alto potencial para el control biológico en la región Lambayeque.


 

Tabla 1

Estadística Descriptiva del Porcentaje de Parasitismo

 

Table 1

Descriptive Statistics of the Percentage of Parasitism

 

Lugar

Especie

Media Parasitismo

SD Parasitismo

Rango Parasitismo

N

Cayaltí campo 1 habilitado

Diatraea

0,00

NA

0,0 - 0,0

1

Cayaltí campo 1 habilitado

Sitotroga

0,00

NA

0,0 - 0,0

1

Chilcal

Sitotroga

0,00

NA

0,0 - 0,0

1

Collique Bajo campo habilitados

Diatraea

0,00

NA

0,0 - 0,0

1

Collique Bajo campo habilitados

Sitotroga

100,00

NA

100,0 - 100,0

1

Ferreñafe

Sitotroga

0,00

NA

0,0 - 0,0

1

Lambayeque

Sitotroga

100,00

NA

100,0 - 100,0

1

Monsefú

Sitotroga

0,00

NA

0,0 - 0,0

1

Motupe

Diatraea

100,00

NA

100,0 - 100,0

1

Motupe

Sitotroga

100,00

NA

100,0 - 100,0

1

Pítipo

Sitotroga

100,00

NA

100,0 - 100,0

1

Reque

Sitotroga

0,00

NA

0,0 - 0,0

1

Salas

Sitotroga

100,00

NA

100,0 - 100,0

1

San Agustín

Sitotroga

53,12

NA

53,12 - 53,12

1


Las estimaciones se basaron en el porcentaje de parasitismo registrado en campo, y se clasificaron en rangos de incidencia (baja, media y alta), que fueron representados mediante técnicas de análisis espacial en ambiente del software QGIS Desktop 3.28.11.

En el caso de Diatraea saccharalis (Figura 1), se observó una mayor concentración de zonas con incidencia baja de parasitismo (≤1%) en los distritos de Túcume, Mochumí, Ferreñafe y Reque. Estas áreas presentan condiciones posiblemente desfavorables para la actividad del parasitoide, como baja disponibilidad de huevos del hospedero o interferencias por prácticas agrícolas intensivas. Solo algunos sectores de Íllimo, Jayanca y Pacora registraron niveles intermedios (1%–15%), mientras que no se reportaron zonas con parasitismo superior al 15%, lo que sugiere una limitada efectividad natural de Trichogramma sobre esta especie en la región. En contraste, Sitotroga cerealella (Figura 2) mostró una distribución espacial más amplia del parasitismo. Áreas significativas de Tumán, José Leonardo Ortiz, La Victoria y sectores de Zaña alcanzaron valores superiores al 40%, indicando condiciones ambientales y agrícolas propicias para la acción del parasitoide. Sin embargo, en distritos del norte y este, como Motupe, Incahuasi y Pucalá, los valores fueron generalmente bajos, con focos aislados de actividad intermedia (1% – 40%). Estos resultados sugieren que Sitotroga es una especie hospedadora más favorable para el desarrollo de Trichogramma spp. en la costa central de Lambayeque.

Finalmente, para Galleria mellonella (Figura 3), el parasitismo fue predominantemente bajo (≤1%) en la mayoría de los distritos, incluyendo Ferreñafe, Pueblo Nuevo y el valle de La Leche. Sin embargo, se identificaron áreas de parasi-tismo intermedio (1% – 13%) en los distritos de Pítipo, Cañaris y Pucalá, donde se hipotetiza una posible coincidencia de microhábitats favorables o menor perturbación antrópica. No se detectaron zonas con parasitismo superior a 13%, lo cual es coherente con el rol limitado de Galleria como hospedero natural en ambientes agrícolas abiertos.

Los resultados cartográficos integran evidencia empírica y análisis geoestadísticos para construir una visión espacial del comportamiento ecológico de Trichogramma spp. Estos patrones permiten priorizar zonas de intervención para futuras liberaciones, evaluar la compatibilidad de hospederos según territorio y formular estrategias diferenciadas de control biológico con enfoque territorial.


 

 

Figura 1. Distribución espacial de Diatraea saccharalis. / Figure 1. Spatial distribution of Diatraea saccharalis.

 

Figura 2. Distribución espacial de Sitotroga cerealella. / Figure 2. Spatial distribution of Sitotroga cerealella.

 

 

 

Figura 3. Distribución espacial de Galleria mellonella. / Figure 3. Spatial distribution of Galleria mellonella.


3.2.1. Distribución geoespacial del parasitismo por especie hospedadora

El análisis cartográfico integrado (Figura 4) muestra la distribución espacial del parasitismo ejercido por Trichogramma spp. sobre tres especies hospedadoras clave (Diatraea saccharalis, Sitotroga cerealella y Galleria mellonella) en los principales distritos agrícolas de la región Lambayeque. Los datos fueron georreferenciados y clasificados en rangos de parasitismo según especie, permitiendo observar patrones espaciales diferenciados.

En general, se evidencia una mayor concen-tración de parasitismo sobre Diatraea saccharalis en la franja central y nororiental, particularmente en los distritos de Túcume, Pítipo y Pacora (Tabla 2), aunque en muchos casos los niveles se mantienen en rangos intermedios (1% – 15%). Por el contrario, Sitotroga cerealella muestra focos de parasitismo más amplios y extendidos hacia el sur (Tumán, Pucalá, Eten), con casos puntuales que superan el 40%, lo que sugiere condiciones altamente favorables para la actividad del parasitoide. En cuanto a Galleria mellonella, su distribución es más fragmentaria y localizada, con parasitismo elevado (>13%) únicamente en las zonas de Pítipo, Túcume y Pucalá, donde convergen condiciones agroecoló-gicas específicas. La diversidad de patrones sugiere que la efectividad de Trichogramma spp. no es uniforme, y depende significativamente de la especie hospedadora, el entorno agrícola inmediato y las condiciones climáticas locales. Estos resultados proporcionan una base sólida para planificar estrategias de liberación locali-zada de parasitoides y optimizar programas de control biológico en función de la espacialidad del sistema agroecológico lambayecano.

 

Tabla 2

Resumen del parasitismo por especie hospedadora y distrito (clasificación espacial)

 

Table 2

Summary of parasitism by host species and district (spatial classification)

 

Distrito

Diatraea saccharalis

Sitotroga cerealella

Galleria mellonella

Túcume

Bajo / Medio

Alto

Medio

Pítipo

Medio / Alto

Medio

Alto

Tumán

Medio

Alto

Medio

Pucalá

Medio

Alto

Alto

Ferreñafe

Bajo

Medio

Bajo

Illimo

Bajo

Medio

Bajo

Mochumí

Bajo

Bajo

Bajo

Pacora

Medio

Medio

Bajo

Reque

Bajo

Medio

No registrado

Monsefú

Bajo

Bajo

No registrado

Notas: Clasificaciones: Bajo (≤1%), Medio (1% – 15%, Sitotroga: hasta 40%), Alto (>15% / >40% para Sitotroga). Basado en interpretación de mapas geoespaciales integrados y datos extraídos de los archivos KML.


 

 

Figura 4. Análisis cartográfico integrado. / Figure 4. Integrated cartographic analysis.


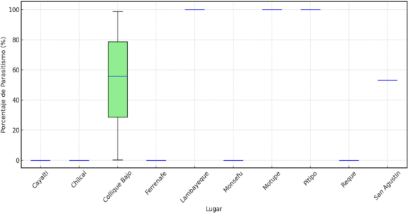
Los diagramas de caja generados muestran la distribución del porcentaje de parasitismo (Figura 5), representando el parasitismo por especie hospedadora, donde Sitotroga exhibe una mayor variabilidad (mediana = 50%, IQR = 0–100%) en comparación con Diatraea (mediana = 0%, IQR = 0–100%). La Figura 6 muestra el parasitismo por lugar, destacando que Lambayeque, Motupe, Pítipo, Salas y Collique Bajo tienen valores altos (100%), mientras que Cayaltí, Chilcal, Ferreñafe, Monsefú y Reque registran 0%. San Agustín presenta un valor intermedio (53,12%).

 

 

Figura 5. Diagrama de caja del porcentaje de parasi-tismo por especie hospedadora.

Figure 5. Box plot of the percentage of parasitism by host species.

El diagrama de caja representa el porcentaje de parasitismo por Trichogramma spp. en dos especies hospedadoras: Sitotroga y Diatraea. En ambas se observa una distribución amplia, con valores que oscilan desde casi 0% hasta niveles cercanos al 100%, lo que indica una alta variabilidad en la eficacia del parasitismo. La mediana fue ligeramente mayor en Sitotroga (≈54%) que en Diatraea (≈47%), sugiriendo una respuesta algo más favorable del parasitoide hacia Sitotroga. Los rangos intercuartílicos también fueron amplios, reflejando la influencia de factores ecológicos o de manejo que podrían estar modulando la efectividad del control biológico en campo.

 

El diagrama de caja muestra la distribución del porcentaje de parasitismo por Trichogramma spp. en diez localidades de la región Lambayeque. Se observan patrones contras-tantes: mientras en Lambayeque, Motupe y Pítipo se registraron niveles uniformemente altos (100%) sin dispersión, indicando zonas de alta eficacia biocontroladora, en localidades como Cayaltí, Chilcal, Ferreñafe, Monsefú y Reque no se evidenció actividad parasítica. Collique Bajo destaca por su alta variabilidad (rango inter-cuartílico amplio entre 0% y 100%), lo que sugiere heterogeneidad en las condiciones ecológicas o en la disponibilidad de hospe-dadores. San Agustín presentó un nivel intermedio constante (mediana 53,12%). Estos resultados permiten identificar zonas núcleo y periféricas para futuras estrategias de liberación planificada.


 

 

Figura 6. Diagrama de caja: parasitismo por lugar. / Figure 6. Box plot: parasitism by location.


3.2.2. Clasificación de intensidad de parasitismo en Sitotroga

La Tabla 3 detalla la frecuencia de los rangos de parasitismo por lugar y especie. Para Sitotroga, Lambayeque, Motupe, Pítipo, Salas y Collique Bajo campo habilitados presentaron parasitismo en el rango ">75%", indicando una alta intensi-dad. San Agustín mostró un nivel intermedio en el rango "51% – 75%" para Sitotroga. Motupe registró un nivel ">75%" para Diatraea. Los lugares Cayaltí campo 1 habilitado, Chilcal, Ferreñafe, Monsefú y Reque presentaron un 0% de parasitismo para ambas especies.

 

3.3. Regresión lineal múltiple

El modelo de regresión lineal múltiple evalúa la influencia de la especie hospedadora y el lugar en el parasitismo. El modelo presentó un R² de 0,597, indicando que explica el 59,7% de la varianza, pero el R²ajustado (0,224) sugiere un ajuste moderado debido al tamaño reducido de la muestra (Tabla 4). Ninguna variable indepen-diente (especie o lugar) resultó estadísticamente significativa (p > 0,05). Los coeficientes indican que Lambayeque, Motupe, Pítipo, Salas y Collique Bajo tienen un efecto positivo en el parasitismo en comparación con el lugar de referencia (Cayaltí campo 1 habilitado), aunque no significativo. La falta de significancia estadís-tica, a pesar de un R² descriptivo, es una conse-cuencia directa de la baja potencia estadística del estudio, lo que impide extraer conclusiones definitivas sobre la influencia de estas variables.

 

3.4. Análisis de Componentes Principales (PCA)

La Tabla 5 resume los resultados del PCA realizado con las variables Huevos_parasitados, %_Parasitismo y N_trampas. Los 2 primeros componentes (CP) explican el 100% de la varianza (PC1 el 66,6% y el PC2 el 33,3%).


 

Tabla 3

Clasificación de Intensidad de Parasitismo

 

Table 3

Parasitism Intensity Classification

 

Lugar

Especie

Rango_Parasitismo

Frecuencia

Cayaltí campo 1 habilitado

Diatraea

0%

1

Cayaltí campo 1 habilitado

Sitotroga

0%

1

Chilcal

Sitotroga

0%

1

Collique Bajo campo habilitados

Diatraea

0%

1

Collique Bajo campo habilitados

Sitotroga

>75%

1

Ferreñafe

Sitotroga

0%

1

Lambayeque

Sitotroga

>75%

1

Monsefú

Sitotroga

0%

1

Motupe

Diatraea

>75%

1

Motupe

Sitotroga

>75%

1

Pítipo

Sitotroga

>75%

1

Reque

Sitotroga

0%

1

Salas

Sitotroga

>75%

1

San Agustín

Sitotroga

51% –7 5%

1

 

Tabla 4

Resultados de la Regresión Lineal Múltiple

 

Table 4

Multiple Linear Regression Results

 

Término

Estimación

Error Estándar

Valor t

Valor p

(Intercepto)

35,714

31,413

1,137

0,278

Especie Sitotroga

28,571

33,578

0,851

0,411

Lugar Collique Bajo campo habilitados

64,286

44,506

1,444

0,175

Lugar Ferreñafe

-35,714

44,506

-0,803

0,437

Lugar Lambayeque

64,286

44,506

1,444

0,175

Lugar Monsefú

-35,714

44,506

-0,803

0,437

Lugar Motupe

64,286

44,506

1,444

0,175

Lugar Pítipo

64,286

44,506

1,444

0,175

Lugar Reque

-35,714

44,506

-0,803

0,437

Lugar Salas

64,286

44,506

1,444

0,175

Lugar San Agustín

17,406

44,506

0,391

0,702

 

Tabla 5

Resumen del Análisis de Componentes Principales (PCA)

 

Table 5

Summary of Principal Component Analysis (PCA)

 

Componente

Desviación Estándar

Proporción de Varianza

Varianza Acumulada

PC1

1,414

0,666

0,666

PC2

1,000

0,333

1,000

PC3

0,000

0,000

1,000

 


La alta correlación entre Huevos_ parasitados y %_Parasitismo dominó el PC1, lo cual es esperable dado que el porcentaje de parasitismo se calcula directamente a partir de los huevos parasitados. La contribución limitada de N_trampas en el PC2 sugiere que, dentro de los puntos muestreados, la densidad de trampas no fue el principal impulsor de la varianza observada, o que el rango de números de trampas no fue lo suficientemente amplio como para revelar un efecto más fuerte. El componente principal 3 (PC3) no explica varianza adicional por la estructura de los datos, lo que es inusual para datos del mundo real a menos que solo haya dos variables verdaderamente indepen-dientes.

Los resultados obtenidos en este estudio revelan una distribución heterogénea del parasitismo de Trichogramma spp. en agroecosistemas de la región Lambayeque, con niveles altos (>75%) en lugares como Lambayeque, Motupe, Pítipo, Salas y Collique Bajo para Sitotroga, y en Motupe para Diatraea, mientras que otros sitios, como Cayaltí campo 1 habilitado, Chilcal, Ferreñafe, Monsefú y Reque, presentaron un parasitismo nulo. San Agustín mostró un nivel intermedio (51% – 75%) para Sitotroga. Estos hallazgos reflejan la variabilidad espacial en la actividad de Trichogramma spp., lo que concuerda con estudios previos que destacan la influencia de factores como la densidad de huevos hospedadores, la estructura del hábitat y las condiciones agroclimáticas en la eficacia de los parasitoides (Parra & Coelho, 2022; Morales et al., 2023; Denys & Tscharntke, 2002).

La alta tasa de parasitismo observada en ciertos lugares, particularmente para Sitotroga, sugiere que Trichogramma spp. es efectivo como agente de control biológico en agroecosistemas especí-ficos de Lambayeque, especialmente en cultivos donde Sitotroga cerealella es prevalente. Este resultado es consistente con investigaciones que reportan el éxito de Trichogramma en el control de lepidópteros en cultivos como maíz y arroz (Smith & Tabashnik, 2023; Zang et al., 2021). Sin embargo, la falta de parasitismo en varios sitios podría estar relacionada con factores no medidos, como la disponibilidad de hospeda-dores o las condiciones microclimáticas (Castex et al., 2020; Azevedo et al., 2023), que han sido identificadas como determinantes clave en la dispersión y eficacia de los parasitoides (Agboyi et al., 2020; Burte et al., 2023a; Burte et al., 2023b). Por ejemplo, la teoría de la interacción parasitoide-hospedero indica que la densidad de huevos hospedadores es un factor crítico para el éxito del parasitismo (Parra & Coelho, 2022), lo que podría explicar la ausencia de actividad en lugares con baja abundancia de hospedadores.

La prueba de Kruskal-Wallis no detectó diferencias significativas en el porcentaje de parasitismo entre especies hospedadoras (p = 0,073) ni entre lugares (p = 0,174). Esta falta de significancia estadística se debe principalmente al tamaño reducido de la muestra (14 registros válidos tras la limpieza de datos), lo que limita la potencia estadística del estudio para generalizar los resultados. Este hallazgo subraya la necesidad imperativa de aumentar el número de puntos de muestreo en futuros estudios, como sugieren Morales et al. (2023) para análisis espaciales en agroecosistemas tropicales. La regresión lineal múltiple (R² = 0,597, R² ajustado = 0,224) no identificó predictores significativos del parasitismo, lo que podría atribuirse a la falta de datos sobre variables ambientales clave, como temperatura y tipo de cultivo, que han demostrado influir en la actividad de Tricho-gramma (Zang et al., 2021). La ausencia de estas variables en el conjunto de datos restringió el análisis, destacando la importancia de incorporar mediciones climáticas y agrícolas en futuros muestreos, como recomiendan Castex et al. (2020). La dependencia de la discusión en la literatura externa para explicar los patrones observados o la falta de significancia estadística, debido a la ausencia de datos internos, resalta una brecha significativa en el poder explicativo del estudio.

El análisis de componentes principales (PCA) reveló que el 66,6% de la varianza está expli-cada por el componente principal 1, dominado por la correlación entre el número de huevos parasitados y el porcentaje de parasitismo. Esto confirma que estas variables están estrecha-mente relacionadas, como era de esperar, dado que el porcentaje de parasitismo se calcula directamente a partir de los huevos parasitados. Sin embargo, la contribución limitada del número de trampas (PC2, 33,3%) sugiere que la den-sidad de muestreo no fue un factor determinante en los patrones observados, lo que contrasta con estudios que enfatizan la importancia de optimizar la distribución de trampas para capturar la variabilidad espacial (Tyagi & Kumar, 2024).

Los diagramas de caja (Figuras 5 y 6) ilustran la alta variabilidad del parasitismo para Sitotroga (mediana = 50%, IQR = 0% – 100%) en comparación con Diatraea (mediana = 0%, IQR = 0% – 100%), y destacan la concentración de altos niveles de parasitismo en ciertos lugares. Esta distribución heterogénea es coherente con modelos de dispersión entomológica que predicen patrones espaciales irregulares en función de la estructura del paisaje agrícola (Tyagi & Kumar, 2024; Thorbek & Topping, 2005). La alta eficacia en Motupe para ambas especies podría indicar condiciones locales favorables, como una mayor densidad de hospedadores o microclimas adecuados, aunque la falta de datos ambientales impide una interpretación definitiva.

El tamaño reducido de la muestra (14 registros válidos) limitó la potencia estadística de los análisis, particularmente para la regresión lineal y las comparaciones entre grupos. La ausencia de datos sobre temperatura, humedad y tipo de cultivo restringió la capacidad de evaluar factores ambientales clave, como se ha reportado en estudios previos (Zang et al., 2021; Castex et al., 2020). Además, el uso exclusivo de Sitotroga y Diatraea como hospedadores en las trampas centinela pudo haber subestimado la actividad de Trichogramma spp. sobre otras especies de lepidópteros presentes en Lambayeque. Finalmente, la falta de datos longitudinales impidió analizar las variaciones temporales en el parasitismo, un aspecto crítico para diseñar estrategias de liberación estacionales (Parra & Coelho, 2022; Lopes et al., 2024; Santos et al., 2024a; Santos et al., 2024b).

Los resultados obtenidos sugieren que Trichogramma spp. tiene un potencial signifi-cativo para el control biológico en Lambayeque, especialmente en áreas de alta actividad como Motupe y Salas, aunque la distribución heterogénea indica la necesidad de estrategias de liberación específicas por sitio, apoyadas en análisis geoespaciales como los propuestos por Li & Heap (2014). Estas estrategias podrían beneficiarse de un muestreo ampliado que incluya más puntos y variables ambientales, técnicas moleculares para identificar especies específicas de Trichogramma (He et al., 2025), y la integración con hongos entomopatógenos, siguiendo el enfoque de Araujo et al. (2020) y Mahendran et al. (2024), lo que contribuirá a optimizar el control biológico y promover la sostenibilidad de los agroecosistemas locales.

 

4. Conclusiones

 

Este estudio, como una primera aproximación crucial, ha proporcionado una valiosa caracterización de la distribución espacial de Trichogramma spp. en los agroecosistemas de Lambayeque. Ha revelado patrones heterogé-neos de parasitismo y un potencial significativo para el control biológico en áreas específicas, sentando un precedente importante para la región. Aunque de naturaleza descriptiva y con limitaciones inherentes a su fase inicial, los hallazgos de este trabajo establecen una base empírica esencial y delinean claramente las direcciones para el desarrollo de futuras investigaciones y estrategias de manejo de plagas más avanzadas. Para diseñar estrategias de liberación dirigidas y optimizar el control biológico en Lambayeque, es imperativo ampliar el muestreo, incorporando un mayor número de puntos y mediciones de variables climáticas (temperatura, humedad) y tipo de cultivo, como recomendado por Castex et al. (2020). Asimismo, la implementación de técnicas moleculares para la identificación precisa de especies de Trichogramma es esencial para comprender su ecología específica.

Finalmente, se sugiere explorar la integración de Trichogramma con hongos entomopatógenos, lo que permitirá desarrollar enfoques de control biológico más robustos y fomentar la sostenibilidad agrícola en la región.

 

Agradecimientos

Al Vicerrectorado de Investigación de la Universidad Nacional Pedro Ruiz Gallo (UNPRG) por su respaldo académico e institucional, el cual fue fundamental para el desarrollo de este trabajo. Asimismo, reconocen que se utilizaron herramientas asistidas por inteligencia artificial para la recopilación preliminar de información y el análisis de datos. Cabe señalar que todas las decisiones metodológicas, interpre-taciones analíticas y revisiones de contenido fueron realizadas exclusivamente por los autores.

Contribución de los autores

 

E. M. Rufasto-Campos: Conceptualización, Metodolo-gía, Revisión y edición. J. W. Gómez-Cumpa: Con-ceptualización, Análisis formal, Metodología, Redacción – borrador original, Visualización, Revisión y edición. J. L. Saavedra-Díaz: Investigación en campo, Revisión y edición. D. Sánchez Díaz: Diseño de mapas, Visua-lización geoespacial. A. L. Acuña Túllume:  Investiga-ción en campo. Todos los autores revisaron y aprobaron la versión final del artículo, asumiendo plena respon-sabilidad por su contenido.

 

Declaración ética

Se declara que todas las actividades de recolección y manejo de especímenes de Trichogramma spp. y especies hospedadoras en este estudio se realizaron cumpliendo con las normas éticas internacionales para la investigación con animales, de acuerdo con las guías establecidas por la Organización Mundial de Sanidad Animal (OIE) y las regulaciones locales del Perú, incluyendo la aprobación del Comité de Ética de la Universidad Nacional Pedro Ruiz Gallo.

 

Referencias

 

Abbas, A., Ullah, F., Hafeez, M., Han, X., Dara, M. Z. N., Gul, H., & Zhao, C. R. (2022). Biological Control of Fall Armyworm, Spodoptera frugiperda. Agronomy, 12(11), 2704. https://doi.org/10.3390/agronomy12112704

Abdel Halim, E. M., Ahmed, S. S., El-Mandarawy, M. B. R., & Naroz, M. H. (2025). Impact of gamma irradiation alone or in combination with Trichogramma spp. on the life stages of Sitotroga cerealella (Olivier) (Lepidoptera: Gelechiidae). Egyptian Journal of Biological Pest Control, 35(1). https://doi.org/10.1186/s41938-025-00855-2

Agboyi, L. K., Mensah, S. A., Clottey, V. A., & Kenis, M. (2020). Biological control of lepidopteran pests in African agricultural landscapes: Current status and future perspectives. Biological Control, 141, 104141. https://doi.org/10.1016/j.biocontrol.2019.104141

Araujo, E. S., Poltronieri, A. S., Poitevin, C. G., Mirás-Avalos, J. M., Zawadneak, M. A. C., & Pimentel, I. C. (2020). Compatibility between entomopathogenic fungi and egg parasitoids (Trichogrammatidae): A laboratory study for their combined use to control Duponchelia fovealis. Insects, 11(9), 630. https://doi.org/10.3390/insects11090630

Azevedo, K. E. X., Magalhães, D. M., de Andrade Moral, R., & Bento, J. M. S. (2023). Weathering the hunt: The role of barometric pressure in predator insects’ foraging behaviour. Ecology and Evolution, 13(8). https://doi.org/10.1002/ece3.10416

Bográn, C. E., Heinz, K. M., & Ciomperlik, M. A. (2002). Interspecific competition among insect parasitoids: Field experiments with whiteflies as hosts in cotton. Ecology, 83(3), 653-668. https://doi.org/10.1890/0012-9658(2002)083[0653:ICAIPF]2.0.CO;2

Burte, V., Cointe, M., Perez, G., Mailleret, L., & Calcagno, V. (2023a). When complex movement yields simple dispersal: Behavioural heterogeneity, spatial spread and parasitism in groups of micro-wasps. Movement Ecology, 11(1). https://doi.org/10.1186/s40462-023-00371-8

Burte, V., Perez, G., & Amat, I. (2023b). Spatial ecology of biological control agents: Towards more effective release strategies. Biological Control, 178, 105143. https://doi.org/10.1016/j.biocontrol.2022.105143

Bzowska-Bakalarz, M., Bulak, P., Bereś, P. K., Czarnigowska, A., Czarnigowski, J., Karamon, B., Pniak, M., & Bieganowski, A. (2020). Using gyroplane for application of Trichogramma spp. against the European corn borer in maize. Pest Management Science, 76(6), 2243–2250. https://doi.org/10.1002/ps.5762

Castex, V., García, M., & Rojas, R. (2020). Multivariate analysis of environmental factors affecting parasitoid distribution. Ecological Entomology, 45(3), 567–576. https://doi.org/10.1111/een.12845

Gardner, J., Wright, M. G., Kuhar, T. P., Pitcher, S. A., & Hoffmann, M. P. (2012). Dispersal of Trichogramma ostriniae in field corn. Biocontrol Science and Technology, 22(10), 1221-1233. https://doi.org/10.1080/09583157.2012.723676

He et al. (2025). Mitogenomic characterization and comparative analysis of three egg parasitoid wasps parasitizing nilaparvata lugens (Stål). Insects, 16(5), 054. https://doi.org/10.3390/insects1605054

Hengl, T., & de Jesus, J. M. (2021). Advances in geostatistical modeling for ecological applications: A review of recent developments. Ecological Modelling, 440, 109403. https://doi.org/10.1016/j.ecolmodel.2020.109403

Kot, M., & Lewis, M. A. (1997). Dispersal and spatial ecology of parasitoids: Models and applications. Theoretical Population Biology, 52(2), 101–115. https://doi.org/10.1006/tpbi.1997.1322

Li, H., & Heap, A. D. (2014). A review of spatial interpolation methods for environmental scientists. Geoscience Australia, Record 2008/23, 137 pp.

Li, J., & Heap, A. D. (2014). Spatial interpolation methods applied in the environmental sciences: A review. Environmental Modelling & Software, 53, 103-120. https://doi.org/10.1016/j.envsoft.2013.09.007

Li, J., & Wang, Y. (2022). Spatial interpolation techniques for pest distribution mapping: A case study in agricultural landscapes. International Journal of Applied Earth Observation and Geoinformation, 106, 102669. https://doi.org/10.1016/j.jag.2021.102669

Lopes, P. C., Souza, P. G. C., Santos, J. C. B., Borges, C. E., Araújo, F. H. V., Martins, J. C., Picanço, M. C., Soares, M. A., Veloso, R. V. S., Oliveira, J. R., Rossini, L. C., Siqueira, F. C., & da Silva, R. C. (2024). Spatiotemporal distribution of Schizaphis graminum (Rondani) and its natural enemy Coccinella septempunctata (Linnaeus) in graniferous sorghum crops. Brazilian Journal of Biology, 84. https://doi.org/10.1590/1519-6984.261972

Mahendran, B., Gopi, R., Mahesh, P., Chandran, K., & Nisha, M. (2024). Field Dynamics of Entomopathogenic Fungi Attacking Sugarcane Planthopper, Pyrilla Perpusilla (Lophopidae: Hemiptera) in a Managed Agro-Ecosystem Comprising Sugarcane Germplasm. Sugar Tech, 26(6), 1760-1770. https://doi.org/10.1007/s12355-024-01410-3

Morales, J., Díaz, M., & Fernández, M. (2023). Geospatial analysis of parasitoid distribution in tropical agroecosystems. Journal of Insect Conservation, 27(2), 189–201. https://doi.org/10.1007/s10841-022-00425-3

Nurindah, Sunarto, D. A., & Sujak. (2020). Overview of the use of biocontrol agents in the control of Indonesian sugarcane borers. IOP Conference Series: Earth and Environmental Science, 418(1), 012061. https://doi.org/10.1088/1755-1315/418/1/012061

Parra, J. R. P., & Coelho, A. (2022). Trichogramma: Biology and applications in biological control. Annual Review of Entomology, 67, 451–470. https://doi.org/10.1146/annurev-ento-082021-074231

Santos, M. P. D., Santos Neto, B. D. M., Araújo, L. R., Cardoso, A. C. P., Coelho, B. S., Leite, S. A., Moreira, A. A., Fernandes, D. R. R., Carvalho, G. A., & Castellani, M. A. (2024a). Landscape and insecticide use affecting the Leucoptera coffeella infestation and the natural parasitism spatiotemporal distribution in brazilian coffee agroecosystems. Crop Protection, 185. https://doi.org/10.1016/j.cropro.2024.106908

Santos, M. P. D., Santos Neto, B. D. M., Araújo, L. R., Cardoso, A. C. P., Coelho, B. S., Leite, S. A., Moreira, A. A., Fernandes, D. R. R., Carvalho, G. A., & Castellani, M. A. (2024b). Landscape and insecticide use affecting the Leucoptera coffeella infestation and the natural parasitism spatiotemporal distribution in brazilian coffee agroecosystems. Crop Protection, 185, 106908. https://doi.org/10.1016/j.cropro.2024.106908

SENASA. (2022). Reporte Anual de Plagas Agrícolas en la Región Lambayeque. Servicio Nacional de Sanidad Agraria del Perú.

Smith, S. M., & Tabashnik, B. E. (2023). Enhancing biological control with Trichogramma: Recent insights into spatial dynamics and host-parasitoid interactions. Biological Control, 177, 105112. https://doi.org/10.1016/j.biocontrol.2022.105112

Sivinski, J., Piñero, J., & Aluja, M. (2000). The distributions of parasitoids (Hymenoptera) of Anastrepha fruit flies (Diptera: Tephritidae) along an altitudinal gradient in Veracruz, Mexico. Biological Control, 18(3), 258-269. https://doi.org/10.1006/bcon.2000.0836

Thorbek, P., & Topping, C. J. (2005). The influence of landscape diversity and heterogeneity on spatial dynamics of agrobiont linyphiid spiders: An individual-based model. BioControl, 50(1), 1-33. https://doi.org/10.1007/s10526-004-1114-8

Tyagi, K., & Kumar, V. (2024). Advances in entomological dispersion modeling for integrated pest management. Journal of Economic Entomology, 117(3), 789-801. https://doi.org/10.1093/jee/toad223

Zang, L.-S., Wang, S., Zhang, F., & Desneux, N. (2021). Biological control with Trichogramma in China: History, present status, and perspectives. Annual Review of Entomology, 66, 463–484. https://doi.org/10.1146/annurev-ento-060120-091620

Zhou, J.-C., Liu, Q.-Q., Wang, Q.-R., Ning, S.-F., Che, W.-N., & Dong, H. (2020). Optimal clutch size for quality control of bisexual and Wolbachia-infected thelytokous lines of Trichogramma dendrolimi Matsumura (Hymenoptera: Trichogrammatidae) mass reared on eggs of a substitutive host, Antheraea pernyi Guérin-Méneville (Lepidoptera: Saturniidae). Pest Management Science, 76(8), 2635–2644. https://doi.org/10.1002/ps.5805

Zhu et al. (2025). Comprehensive assessment of the acute lethal, risk level, and sub-lethal effects of four insecticides on Trichogramma ostriniae. PLoS ONE, 20(3), e0325733. https://doi.org/10.1371/journal.pone.0325733