Rice phenotyping using unmanned aerial vehicles: Analyzing morphological characteristics and yield

 

Fenotipado del arroz mediante vehículos aéreos no tripulados: Análisis de características morfológicas y rendimiento

 

Diego Goigochea-Pinchi1; Sergio Sebastian Vega-Herrera1*; Edson Esmith Torres-Chavez1

Fernando Archentti-Reategui1; Ciceron Barrera-Torres1; Percy Luis Dominguez-Yap1

Alfredo Ysuiza-Perez1; Monica Perez-Tello1; Raúl Rios-Rios1; Manuel Dante Santillan-Gonzáles1

Jorge Juan Ganoza-Roncal2; Jose Guillermo Ruiz-Reyes2; Alex Ivan Agurto-Piñarreta2

 

1 Estación Experimental El Porvenir, Instituto Nacional de Innovación Agraria (INIA), Carretera Marginal Sur Fernando Belaunde Terry km 13.5 Tarapoto, San Martín, San Martín, Perú.             

2 Dirección de Desarrollo Tecnológico Agrario, Instituto Nacional de Innovación Agraria (INIA), Av. La Molina, 1981, Lima 15024, Perú.

 

ORCID of the authors:

D. Goigochea-Pinchi: https://orcid.org/0009-0001-4473-5936        S. S. Vega-Herrera: https://orcid.org/0000-0003-1930-1439

E. E. Torres-Chavez: https://orcid.org/0000-0003-2893-8829       F. Archentti-Reategui: https://orcid.org/0009-0002-1379-2951

C. Barrera-Torres: https://orcid.org/0009-0005-6503-1398        P. L. Dominguez-Yap: https://orcid.org/0000-0002-2946-1383 

A. Ysuiza-Perez: https://orcid.org/0009-0006-9126-837X        M. Perez-Tello: https://orcid.org/0009-0001-8031-3714

R. Rios-Rios: https://orcid.org/0009-0004-3730-6852       M. D. Santillan-Gonzáles: https://orcid.org/0009-0001-8791-7262

J. J. Ganoza-Roncal: https://orcid.org/0009-0008-1033-0261       J. G. Ruiz-Reyes: https://orcid.org/0000-0002-6960-1029

A. I. Agurto-Piñarreta: https://orcid.org/0000-0001-8072-3978

 

 

ABSTRACT

 

Rice is a globally important crop and a staple in the diet of a large part of the world’s population. This underscores the need for hybridization and improvement of rice genotypes to meet food demand in an environmentally sustainable manner. Geographic Information Systems (GIS) have proven to be valuable tools for the morphometric phenotyping of different genotypes. In this study, seven different rice genotypes were evaluated with the objective of selecting those with high yield. Multispectral imagery was used to develop prediction models based on supervised learning algorithms, including Linear Regression (LR), Support Vector Machine (SVM), Random Forest (RF), Elastic Net (EN), and Neural Networks (NN). The variables studied were plant height, number of panicles, number of tillers, and yield. The results showed the following performances: R² = 0.44 for plant height using Random Forest, R² = 0.92 for number of panicles with Neural Networks, R² = 0.44 for number of tillers with SVM, and R² = 0.31 for yield with SVM. This technology significantly supports traditional selection methodologies for hybridization and improvement by providing a spatial approach that enhances and facilitates selection criteria.

 

Keywords: Oriza sativa; remote sensing; multispectral imagery; machine learning; breeding.

 

 

RESUMEN

 

El arroz es un cultivo de gran importancia a nivel mundial y un alimento básico en la dieta de gran parte de la población. Esto subraya la necesidad de la hibridación y la mejora genética del arroz para satisfacer la demanda alimentaria de forma sostenible. Los Sistemas de Información Geográfica (SIG) han demostrado ser herramientas valiosas para el fenotipado morfométrico de diferentes genotipos. En este estudio se evaluaron siete genotipos de arroz con el objetivo de seleccionar aquellos con mayor rendimiento. Se utilizaron imágenes multiespectrales para desarrollar modelos predictivos basados ​​en algoritmos de aprendizaje supervisado, incluyendo regresión lineal (RL), máquinas de vectores de soporte (SVM), bosques aleatorios (RF), red elástica (EN) y redes neuronales (NN). Las variables estudiadas fueron la altura de la planta, el número de espigas, el número de tallos y el rendimiento. Los resultados mostraron los siguientes niveles de precisión: para la altura de la planta, con bosques aleatorios, un R² = 0,44; para el número de espigas, con redes neuronales, un R² = 0,92; para el número de tallos, con SVM, un R² = 0,44; y para el rendimiento, con SVM un R² = 0,31. Esta tecnología complementa significativamente las metodologías tradicionales de selección para la hibridación y la mejora genética, al proporcionar un enfoque espacial que mejora y facilita los criterios de selección.

 

Palabras clave: Oryza sativa; teledetección; imágenes multispectrales; aprendizaje automático; mejora genética.

 

 

 


1. Introduction

 

Rice is a globally important crop and a staple food for a significant proportion of the world's population (Cantrell & Reeves, 2002). The high demand for rice has driven the selection of different genotypes to develop environmentally sustainable varieties or cultivars, focusing on high yields, resistance to pests and diseases, and tolerance to various stresses and environmental conditions (Araus & Cairns, 2014; Tanaka et al., 2024). Rice phenotyping is based on agronomic, morphological and biochemical traits that are critical for improving varieties that can adapt to climate change. This breeding process is often slow and labor-intensive and faces challenges such as the difficulty of analyzing large field areas and collecting data (Reynolds et al., 2020).

The use of remote sensing technologies, such as unmanned aerial vehicles (UAVs), has proven to be a valuable tool in agriculture for crop monitoring. Equipped with multispectral or hyperspectral cameras, UAVs can calculate various vegetation indices, of which the normalized difference vegetation index (NDVI) is one of the most used (Sulik & Long, 2016). The use of this indices helps to estimate biomass, leaf area index (LAI), chlorophyll content and other parameters related to plant health (Wan et al., 2021; Yang et al., 2017). In addition, the integration of different indices over different phenological stages of the crop improves the accuracy and reliability of these estimates. Light Detection and Ranging (LiDAR), which is used to create three-dimensional orthomosaics and estimate plant height, canopy cover and crop texture, is another key technology for phenotyping and genotype characterization (Christiansen et al., 2017). Thermal cameras are used to measure the energy emitted by plants, which provide valuable insights into physiological activities such as stomatal conductance and transpiration rates, essential for assessing plant responses to biotic and abiotic stresses (Giménez-Gallego et al., 2021).

In rice phenotyping, plant height is a crucial parameter as it is used to assess biomass and grain yield (Boomsma et al., 2010; Kawamura et al., 2020). Shorter varieties are generally easier to manage for crop maintenance, facilitating the application of pest-management products and fertilizers, and making harvesting more accessible to machinery. Traditionally, height is measured manually using tape measures, which is very time-consuming when working with large areas and numerous genotypes. In addition to plant height, other morphometric traits important for pheno-typing and genotype selection for high yield include the number of tillers and panicles per plant, which are directly related to productivity (Chen et al., 2024; Lyu et al., 2021). Various methods and models have been used to estimate these traits, ranging from multiple linear regression to supervised machine learning approaches, such as R-CNN or YOLOv8-X algorithms for panicle counting, or canopy height models for estimating plant height (Chen et al., 2024; Tan et al., 2023).

Precision agriculture is an emerging technology in Peru that has the potential to significantly improve farming practices by reducing costs and saving time. Rice is a key component of Peruvian agriculture, covering nearly 400,000 hectares nationwide, with the San Martin region alone contributing 22% of the country's total rice production (Caribou Space, 2022). To further develop this sector, the Ministry of Agrarian Development and Irrigation is investing in the development of rice varieties that are more resilient and adapted to the unique environmental conditions of different regions (INIA, 2024). The integration of remote sensing technology into precision agriculture will provide valuable insights into rice breeding programs and improve the management of large amounts of data for genotype selection based on various criteria, such as morphology and physiology, to improve the selection process for new rice varieties that are adapted to climatic changes and are able to satisfy food demand.

The aim of this study is to develop models for estimating plant height, number of tillers, number of panicles, and yield of different rice genotypes using multispectral imagery. To achieve this, we employ various supervised machine learning models to identify the most effective approach for each variable. This study seeks to enhance the accuracy and reliability of trait estimation, supporting more informed decisions in rice breeding and management.

 

2. Methodology

 

2.1. Site description

This study was conducted at the Estación Experimental Agraria El Porvenir of the Instituto Nacional de Innovación Agraria (INIA), located in the Juan Guerra district, in the province and department of San Martín, Peru (6° 35’ 54’’ S, 76° 19’ 27’’ W, 202 masl) (Figure 1).


Diagrama

El contenido generado por IA puede ser incorrecto.

 

Figure 1. Location and distribution of research field.

 


The rice cultivation period lasted 143 days, starting with sowing in the seedbed in March and ending with harvesting in August 2023. Meteorological data provided by the Servicio Nacional de Meteorología e Hidrología del Perú (SENAMHI) indicated a mean maximum temperature of 31.9 °C, a mean mini-mum temperature of 21.7 °C, a mean precipitation of 2.9 mm, and a mean relative humidity of 58.39% during the experimental period. Soil characteristics were 0.39% N, 25.40 mg/kg P, 415.98 mg/kg K, a pH of 6.95, electrical conductivity of 22.62 mS/m, and clay texture.

 

2.2. Experimental design

The experimental design was a Completely Randomized Design (CRD) with seven different genotypes: L01 (PALM-72-EP4-2-M-1-1), L02 (CT 8008-3-5-8P-M-2P/PSM3-2-2/EMAPASC108), L03 (CT 22978-F1-VF2012-32-F2-30-2-EP1-4), L04 (VF 2008-1006-11-2-3-4-2-EP1-1), L05 (VF 2008-1006-37-6-4-4-2-EP1-2), L06 (VF 2008-1006-11-2-3-4-1-EP1-3), and L07 (VF 2008-1006-11-2-3-4-3-EP1-6). Each experimental plot measured 500 m², with four replications per genotype (n = 28). The sowing system involved direct transplanting of rice plants. Agronomic parameters are shown in Table 1.

 

2.3. Agronomical variables determination

Tiller and height measurement: Tiller number was determined by directly counting the tillers per plant, and plant height was measured using a measuring tape (Rosero, 1983). All measure-ments were taken within a one-square-meter area.

 

Yield determination: Yield was determined by four components; NP: number of panicles, NGP: number of grains per panicle, NGF: percentage of fertile grains, and W: weight of 1000 grains at 14 % RH (Rosero, 1983). All parameters were evaluated per square meter, and yield was calculated using equation 1.

 

Yield=(NP×NGP×NGF×W)/1000 (1)

 

2.4. Flight plan and indices vegetation estimation

Multispectral images were acquired using a DJI Matrice 300-RTK UAV equipped with a Micasense RedEdge-P multispectral sensor camera (Mica-Sense, RedEdge, NC, USA). The camera captured images across five spectral bands: blue (475 nm), green (560 nm), red (668 nm), red edge (717 nm), and near-infrared (NIR, 842 nm), each with a 1.6 MP shutter. Images were collected on eight dates: 94 days after sowing (DAS) corresponding to the reproductive stage, and 101, 108, 115, 122, 130, 136, and 143 DAS corresponding to the ripening stage, under sunny conditions.

 

The flight plan was carried out using the DJI Pilot 2 application, featuring a frontal and lateral overlap of 80%, a flight altitude of 50 m, and a speed of 4.5 m/s. The camera was positioned perpendicularly to the ground, which provided a spatial resolution of 2.08 cm/pixel in the multispectral images. Following image capture, the images were processed for georeferencing and brightness correction using radiometric calibration procedures in Pix4Dmapper (v4.5.6, Pix4D SA, Prilly, Switzerland), resulting in the creation of an orthomosaic. Vegetation indices were computed for the rice canopy area, which was defined through spatial mask extraction in ArcGIS 10.8.1. Table 2 summarizes the vegetation indices assessed throughout the study period.

 

2.5. Data analysis and model development

Data were assessed for normality and homoscedasticity using the Shapiro-Wilk and Levene's tests, respectively. Following these assumptions, an analysis of variance (ANOVA) was performed to determine significant differences among rice genotypes concerning yield, plant height, number of tillers, and panicle count. Tukey's test (p < 0.05) was used to identify specific differences when significant results were found. These analyses were conducted using the agricolae package (de Mendiburu, 2023). Additionally, Pearson correlation analysis was performed to examine relationships among the evaluated variables and vegetation indices (VIs).

To identify the most significant vegetation indices and examine their variations across rice genotypes over time, Principal Component Analysis (PCA) was performed using the factoMineR (Lê et al., 2008) and factoextra (Kassambara & Mundt, 2020) packages. For the development of performance prediction models, the dataset was divided into 80% for training and 20% for testing.


 

Table 1

Timeline of Key Agronomic Activities in Rice Cultivation

 

Date

Activity

Description

03/17/2023

Seed sowing

Installation of seedbed

04/14/2023

Transplanting

Transplant spacing: 0.3 m x 0.3 m, one plant per hill

04/19/2023

NPK Fertilization

46 kg/ha N, 69 kg/ha P (P2O5), 90 kg/ha K (K2O)

05/06/2023

Nitrogen Fertilization

69 kg/ha N

05/13/2023

Nitrogen Fertilization

69 kg/ha N

05/26/2023

Tiller measurement

 

07/15/2023

Height and panicle measurement

 

08/08/2023

Harvest and yield measurement

 

 

 

Table 2

Vegetation indices applied for this study

 

 


Several machine learning models were employed, including Linear Regression (LR), Support Vector Machine (SVM), Random Forest (RF), Elastic Net (EN), and Neural Networks (NN), with 5-fold cross-validation applied using the caret package (Kuhn, 2008). The model performance was evaluated using metrics such as the coefficient of determination (R²), root mean squared error (RMSE), and mean absolute error (MAE), as detailed in Equations 2, 3, and 4, respectively. In these Sequations, yi represents the observed value, and ŷi, indicates the predicted value, with 𝑛 indicating the number of samples. All analyses were performed using R version 4.4.1 (R Core Team, 2023).

3. Results and discussion

 

3.1. Morphological characteristics

 

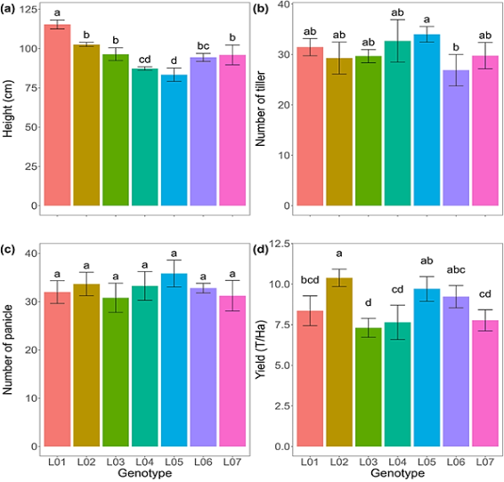
All morphological parameters, except for the number of panicles, showed significant differences among rice genotypes.

 

Figure 2 presents Tukey's post hoc analysis (p < 0.05), highlighting mean comparisons among genotypes for each parameter: Height (F = 33.15, p < 0.001) was greatest in genotype L01, reaching 115.35 cm, and significantly differed from all other genotypes. Regarding the number of tillers (F = 3.06, p < 0.05), genotype L05 had the highest count, differing significantly only from genotype L06. The number of panicles (F = 1.681, p > 0.05) did not vary significantly among genotypes. For yield (F = 9.41, p < 0.001), genotype L02 achieved the highest yield, significantly differing from the other genotypes.


 

 

Figure 2. Barplot with Tukey post hoc analysis (p < 0.05) showing mean comparisons among rice genotypes. (a) Height, (b) Number of tillers, (c) Number of panicles, and (d) Yield. Letters above the bars indicate significant differences among genotypes.


Rice improvement studies aim for high yields and adaptability to climate change. In addition, morphometric aspects search for different "ideotypes" regarding the ideal characteristics that a rice plant should have (Khush, 2013). For height, an ideal height of 90 cm has been proposed (Ata-Ul-Karim et al., 2022).

However, while this height is considered ideal on a global scale, it often does not reflect reality, as other factors beyond height need to be considered. In this study, a maximum height of 115.35 cm was achieved for genotype L01, while genotype L05 had a lower height of 83.32 cm.

Other studies have also reported high variability in height among different genotypes, such as a maximum height of 116.22 cm for the genotype identified as Jiafuzhan and a minimum height of 79.52 cm for the genotype NIL36 (He et al., 2022); or even heights averaging 106.3 cm during the dry season and 120.3 cm during the rainy season, obtained from 19 different genotypes (Ata-Ul-Karim et al., 2022). Plant height is more related to the expression of genes involved in hormone biosynthesis, such as gibberellic acid, strigolactones and brassi-nosteroids (Shearman et al., 2022).

Although height is not directly related to yield, traits such as number of tillers and panicles are morphological traits that are directly related to yield. The number of tillers will vary due to factors such as genotypes and environmental conditions; a similar pattern is observed with the number of panicles (Takai, 2024; Takai et al., 2023; Zhang et al., 2021). The tiller/panicle ratio depends on nutrition and photosynthetic rate, which are crucial for developing tillers sufficiently to produce productive panicles (Ohe & Mimoto, 2002). In terms of yield, well-developed panicles are directly related to achieving high yields. Therefore, yield will depend on biotic, abiotic, and intrinsic factors, which can be summarized as pests and diseases, agronomic management, and rice cultivars or varieties.

 

3.2. Behavior of vegetation indices

Most vegetation indices exhibit a decreasing trend over time. In contrast, NDWI displays an increasing trend, likely due to the suspension of irrigation as harvest days approach (Figure 3). The PCA results presented in Figure 4 illustrate the behavior of the vegetation indices over DAS and reveal distinct patterns of these indices for each genotype over the DAS evaluated.


 

 

Figure 3. Behavior of vegetation indices at different evaluated days. (a) NDVI, (b) CIGREEN, (c) GNDVI, (d) LCI, (e) NDRE, (f) NDWI, (g) OSAVI, (h) RECL, and (i) SAVI estimated by multispectral images from UAV.

 

Figure 4. PCA of vegetation indices during the evaluation days: (a) PCA for all indices and days after sowing (DAS); PCA for the indices and groups of rice genotypes at (b) 94 DAS, (c) 101 DAS, (d) 108 DAS, (e) 115 DAS, (f) 122 DAS, (g) 130 DAS, (h) 136 DAS, and (i) 143 DAS.


The analysis shows that 94 and 101 DAS form a cluster associated with ReCL, Clgreen and NDRE indices. In contrast, 108, 115 and 122 DAS cluster together and are associated with NDVI, OSAVI and SAVI. Finally, 130, 136 and 143 DAS are associated with NDWI. Furthermore, the PCA analysis highlights the evolving relationships between genotypes and vegetation indices over time. While most genotypes remain clustered across the DAS evaluated, genotype L02 consistently forms an isolated group at 101, 108, 122, 130, 136 and 143 DAS. In addition, at 122 DAS, genotypes L04 and L07 begin to separate from the other groups and show a clear relationship with the SAVI and OSAVI indices.

Vegetation indices are complementary tools that integrate geographic information systems to analyze crops based on the reflectance they emit (Quille-Mamani et al., 2022). These indices are generally used to assess biomass or crop health but are also employed in monitoring different phenological stages.


NDVI is particularly relevant during the vegetative stage of rice, as it is related to biomass production. However, during the reproductive and maturation stages, NDVI loses sensitivity, making it necessary to use other vegetation indices (Sulik & Long, 2016; Yue et al., 2019).

In this study, we observed that most vegetation indices show a decreasing trend as the maturation phase approaches. In this stage, the OSAVI and SAVI indices stand out due to their relevance, as they are especially sensitive to water availability and soil cover factors that change when irrigation is suspended during maturation. Similarly, NDWI is also relevant in this phase due to its ability to detect soil and vegetation moisture (McFeeters, 1996).

Other studies have highlighted the importance of the Normalized Difference Yellow Index (NDYI) during the maturation stage, as it is sensitive to the color change from green to yellow (Zhao et al., 2023). It is important to note that vegetation indices may vary in their response depending on the specific field behavior of each variety and temporal variations across different years (Dong et al., 2015). Some genotypes exhibit the "stay-green trait," maintaining green coloration and chlorophyll presence even in the maturation phase, which is an attractive characteristic for selecting genotypes in breeding and hybridization programs, as it is associated with high yields (Zang et al., 2022).

 

3.3. Models prediction

Pearson correlation analysis revealed that most vegetation indices exhibit an inverse correlation between yield and panicle number. However, NDWI was an exception, showing a direct and significant correlation with both yield and panicle number. In contrast, the number of tillers displayed a direct correlation with most vegetation indices, although these correlations were not statistically significant (Figure 5). The performance of model predictions varied across different metrics and variables evaluated. For height, the Random Forest (RF) model exhibited the best performance with an R² of 0.44, an RMSE of 8.38, and an MAE of 7.50. The number of panicles showed the highest performance with the Neural Network (NN) algorithm, which achieved an R² of 0.92, an RMSE of 2.81, and an MAE of 2.44. For the number of tillers, the Support Vector Machine (SVM) model performed best with an R² of 0.44, an RMSE of 2.74, and an MAE of 2.68. Finally, yield prediction was most accurate with the SVM model, showing an R² of 0.31, an RMSE of 1.18, and an MAE of 0.90. Detailed performance metrics for all models and variables are provided in Table 3.

In rice phenotyping, the use of remote sensors as auxiliary tools has become very useful for studying extensive areas that include a large number of different genotypes. Therefore, predictive models for evaluating morphometric characteristics are useful for conducting rice phenotyping at a spatial level. Among the most studied characteristics is plant height; in this study, a moderate performance was obtained with a coefficient of determination of 0.44 using the Random Forest (RF) algorithm.

 

Gráfico

El contenido generado por IA puede ser incorrecto.

 

Figure 5. Correlogram of Pearson correlations between yield, panicle number, tiller number, and height with vegetation indices. Asterisks indicate significant differences: * p < 0.05, ** p < 0.01, and *** p < 0.001.


Table 3

Performance metrics of machine learning models for predicting height, panicle number, tiller count, and yield

 

Model

Height

Panicle number

Tiller number

Yield

RMSE

R2

MAE

RMSE

R2

MAE

RMSE

R2

MAE

RMSE

R2

MAE

RL

8.97

0.12

7.57

4.20

0.70

3.27

4.13

0.11

3.49

1.85

0.06

1.39

SVM

8.26

0.23

6.38

2.43

0.67

2.08

2.74

0.44

2.68

1.18

0.31

0.90

RF

8.38

0.44

7.50

2.02

0.15

1.54

3.44

0.38

3.32

1.19

0.15

1.01

EN

8.41

0.33

7.40

2.67

0.41

2.11

3.22

0.02

2.67

1.91

0.30

1.42

NN

8.11

0.06

7.01

2.81

0.92

2.44

3.68

0.01

3.06

1.24

0.05

1.09

 


Other studies have reported coefficients of determination of 0.72 using a canopy height model (CHM) method followed by a k-fold cross-validation procedure (Kawamura et al., 2020). Canopy NDVI values, along with SPAD, have also been used, achieving high performance with a coefficient of determination of 0.84 (Lu et al., 2021). Regarding panicle count, a high performance was shown using neural networks (NN), obtaining a coefficient of determination of 0.92. Similar levels of fit were found using R-CNN with a coefficient of 0.91, using the YOLOv5-x model in the early heading stage with a coefficient of determination of 0.97, and the YOLOv8-x model in the later heading stage with a coefficient of determination of 0.86 (Chen et al., 2024). Other models, such as the Cascade RCNN model, achieved a coefficient of determination of 0.98 (Tan et al., 2023). This indicates that it is possible to use vegetation indices through different supervised learning models to estimate the number of panicles in the different genotypes evaluated. Although the estimation of the number of tillers has not been widely studied, in this study, a performance of 0.44 was obtained using the SVM model. To our knowledge, the number of tillers has been estimated using RGB images and classification models, achieving a coefficient of determination of 0.83 (Yamagishi et al., 2022). The study of tillers is also highlighted as an important variable, since establishing tillers with optimal development leads to the development of panicles.

Finally, the yield of different genotypes is crucial for the productive approach and meeting food demand. Many rice yield models have been reported, whose success depends on the phase or period of evaluation, obtaining coefficients of determination of 0.50 in the maturation phase using RGB and multispectral images using deep CNN (Yang et al., 2019). Other studies using RF models along with vegetation indices and phenological stages have achieved high performance in yield estimation, with a coefficient of determination of 0.70 (Ge et al., 2021). In this study, a low performance of 0.31 was found with the SVM model; another study on rice yield prediction models obtained a coefficient of determination of 0.43 through multiple linear regression in the maturation phase using NDVI, EVI, and SAVI (Goigochea-Pinchi et al., 2024).

Although yield and resistant rice genotypes are crucial for meeting global food demands, other parameters such as aboveground biomass, leaf area index (LAI), and SPAD values are also used to estimate yield, as they help to establish relationships between yield and tolerance levels to pests and diseases (Duan et al., 2025, Li et al., 2025, Zhou et al., 2025). This work presents the use of remote sensing technologies, such as multispectral imagery, as a tool to support the selection of high-yielding rice genotypes adapted to climate variability. As future research, it is essential to continue enriching the dataset with new evaluations of these and other rice lines over multiple growing seasons. This will allow a better understanding of their performance and tolerance levels to pests, diseases, and environmental stresses, enabling more informed decision-making based on vegetation indices and spectral imagery.

 

4. Conclusions

 

The use of tools such as multispectral imagery for rice phenotyping based on morphometric traits proves to be highly valuable in establishing estimation models for the studied variables. In this work, various supervised learning models were evaluated using machine learning, with the best performances obtained for plant height using Random Forest (R² = 0.44), number of panicles with Neural Networks (R² = 0.92), number of tillers with SVM (R² = 0.44), and yield with SVM (R² = 0.31). Although this technology is relatively new in Peru, its proper implementation has the potential to generate significant advancements in spatial-level rice phenotyping, enhancing the efficiency in the selection of genotypes and adaptation to local conditions.

Funding

This research was funded by the project “Creación del servicio de agricultura de precision en los Departamentos de Lambayeque, Huancavelica, Ucayali y San Martín” of the Ministry of Agrarian Development and Irrigation (MIDAGRI) of the Peruvian Government with grant number CUI 2449640.

 

Acknowledgements

We would like to express our sincere gratitude to Hector Javier Perez Paredes and the field team for their assistance with the agronomic work and equipment maintenance. Their invaluable help and support were instrumental in the successful completion of this endeavor.

 

Authors contributions

Conceptualization, DGP, FAR, EETC and CBT; methodology, DGP, FAR, EETC and CBT; software, DGP, SSVH and MPT; validation, SSVH, AYP and MPT; formal analysis, SSVH and PLDY; investigation, DGP, CBT, FAR and RRR; resources, AYP, MDSG, JJGR and AIAP; data curation, SSVH and PLDY; writing-original draft preparation, SSVH, PLDY and RRR; writing-review and editing, SSVH, PLDY and RRR; visualization,  SSVH, AYP and MPT; supervision, AYP, DMSG, JJGR, JGRR and AIAP; project administration, EETC, DMSG, JJGR, JGRR and AIAP; funding acquisition, JJGR and AIAP. All authors have read and agreed to the published version of the manuscript.

Conflicts of Interest

The authors declare no conflicts of interest.

 

References 

 

Araus, J. L., & Cairns, J. E. (2014). Field high-throughput phenotyping: the new crop breeding frontier. Trends in Plant Science, 19(1), 52–61. https://doi.org/10.1016/j.tplants.2013.09.008

Ata-Ul-Karim, S. T., Begum, H., Lopena, V., Borromeo, T., Virk, P., Hernandez, J. E., Gregorio, G. B., Collard, B. C. Y., & Kato, Y. (2022). Genotypic variation of yield-related traits in an irrigated rice breeding program for tropical Asia. Crop and Environment, 1(3), 173–181. https://doi.org/10.1016/j.crope.2022.08.004

Boomsma, C. R., Santini, J. B., West, T. D., Brewer, J. C., McIntyre, L. M., & Vyn, T. J. (2010). Maize grain yield responses to plant height variability resulting from crop rotation and tillage system in a long-term experiment. Soil and Tillage Research, 106(2), 227–240. https://doi.org/10.1016/j.still.2009.12.006

Cantrell, R. P., & Reeves, T. G. (2002). The Cereal of the World’s Poor Takes Center Stage. Science, 296(5565), 53–53. https://doi.org/10.1126/science.1070721

Caribou Space, D. T. (2022). Regional and National Rice Production Forecasting in Peru (IPP Case Study). https://www.spacefordevelopment.org/library/regional-and-nationalrice-production-forecasting-in-peru-ipp-case-study/

Chen, R., Lu, H., Wang, Y., Tian, Q., Zhou, C., Wang, A., Feng, Q., Gong, S., Zhao, Q., & Han, B. (2024). High-throughput UAV-based rice panicle detection and genetic mapping of heading-date-related traits. Frontiers in Plant Science, 15. https://doi.org/10.3389/fpls.2024.1327507

Christiansen, M., Laursen, M., Jørgensen, R., Skovsen, S., & Gislum, R. (2017). Designing and Testing a UAV Mapping System for Agricultural Field Surveying. Sensors, 17(12), 2703. https://doi.org/10.3390/s17122703

Datt, B. (1999). A New Reflectance Index for Remote Sensing of Chlorophyll Content in Higher Plants: Tests using Eucalyptus Leaves. Journal of Plant Physiology, 154(1), 30–36. https://doi.org/10.1016/S0176-1617(99)80314-9

de Mendiburu, F. (2023). agricolae: Statistical Procedures for Agricultural Research. https://cran.r-project.org/web/packages/agricolae/%0Aagricolae.pdf

Dong, J., Xiao, X., Kou, W., Qin, Y., Zhang, G., Li, L., Jin, C., Zhou, Y., Wang, J., Biradar, C., Liu, J., & Moore, B. (2015). Tracking the dynamics of paddy rice planting area in 1986–2010 through time series Landsat images and phenology-based algorithms. Remote Sensing of Environment, 160, 99–113. https://doi.org/10.1016/j.rse.2015.01.004

Duan, J., Wang, H., Yang, Y., Cheng, M., & Li, D. (2025). Rice Growth Parameter Estimation Based on Remote Satellite and Unmanned Aerial Vehicle Image Fusion. Agriculture, 15(10), 1026. https://doi.org/10.3390/agriculture15101026

Ge, H., Ma, F., Li, Z., & Du, C. (2021). Grain Yield Estimation in Rice Breeding Using Phenological Data and Vegetation Indices Derived from UAV Images. Agronomy, 11(12), 2439. https://doi.org/10.3390/agronomy11122439

Giménez-Gallego, J., González-Teruel, J. D., Soto-Valles, F., Jiménez-Buendía, M., Navarro-Hellín, H., & Torres-Sánchez, R. (2021). Intelligent thermal image-based sensor for affordable measurement of crop canopy temperature. Computers and Electronics in Agriculture, 188, 106319. https://doi.org/10.1016/j.compag.2021.106319

Gitelson, A. A., Kaufman, Y. J., & Merzlyak, M. N. (1996). Use of a green channel in remote sensing of global vegetation from EOS-MODIS. Remote Sensing of Environment, 58(3), 289–298. https://doi.org/10.1016/S0034-4257(96)00072-7

Gitelson, A. A., Viña, A., Ciganda, V., Rundquist, D. C., & Arkebauer, T. J. (2005). Remote estimation of canopy chlorophyll content in crops. Geophysical Research Letters, 32(8). https://doi.org/10.1029/2005GL022688  

Gitelson, A., & Merzlyak, M. N. (1994). Spectral Reflectance Changes Associated with Autumn Senescence of Aesculus hippocastanum L. and Acer platanoides L. Leaves. Spectral Features and Relation to Chlorophyll Estimation. Journal of Plant Physiology, 143(3), 286–292. https://doi.org/10.1016/S0176-1617(11)81633-0

Goigochea-Pinchi, D., Justino-Pinedo, M., Vega-Herrera, S. S., Sanchez-Ojanasta, M., Lobato-Galvez, R. H., Santillan-Gonzales, M. D., Ganoza-Roncal, J. J., Ore-Aquino, Z. L., & Agurto-Piñarreta, A. I. (2024). Yield Prediction Models for Rice Varieties Using UAV Multispectral Imagery in the Amazon Lowlands of Peru. AgriEngineering, 6(3), 2955–2969. https://doi.org/10.3390/agriengineering6030170

He, N., Zhan, G., Huang, F., Abou-Elwafa, S. F., & Yang, D. (2022). Fine Mapping and Cloning of a Major QTL qph12, Which Simultaneously Affects the Plant Height, Panicle Length, Spikelet Number and Yield in Rice (Oryza sativa L.). Frontiers in Plant Science, 13. https://doi.org/10.3389/fpls.2022.878558

Huete, A. R. (1988). A soil-adjusted vegetation index (SAVI). Remote Sensing of Environment, 25(3), 295–309. https://doi.org/10.1016/0034-4257(88)90106-X

INIA. (2024). Programa nacional de arroz. https://www.inia.gob.pe/pn-arroz/

Kassambara, A., & Mundt, F. (2020). factoextra: Extract and Visualize the Results of Multivariate Data Analyses. https://cran.r-project.org/package=factoextra

Kawamura, K., Asai, H., Yasuda, T., Khanthavong, P., Soisouvanh, P., & Phongchanmixay, S. (2020). Field phenotyping of plant height in an upland rice field in Laos using low-cost small unmanned aerial vehicles (UAVs). Plant Production Science, 23(4), 452–465. https://doi.org/10.1080/1343943X.2020.1766362

Khush, G. S. (2013). Strategies for increasing the yield potential of cereals: case of rice as an example. Plant Breeding, 132(5), 433–436. https://doi.org/10.1111/pbr.1991

Kuhn, M. (2008). Building Predictive Models in R Using the caret Package. Journal of Statistical Software, 28(5). https://doi.org/10.18637/jss.v028.i05

Lê, S., Josse, J., & Husson, F. (2008). FactoMineR: An R Package for Multivariate Analysis. Journal of Statistical Software, 25(1). https://doi.org/10.18637/jss.v025.i01

Li J, Li J, Zhao D, Cao Q, Yu F, Cao Y, Feng S and Xu T (2025) High-throughput method for improving rice AGB estimation based on UAV multi-source remote sensing image feature fusion and ensemble learning. Frontier in Plant Science. 16.1576212. https://doi.org/10.3389/fpls.2025.1576212Lu, W., Okayama, T., & Komatsuzaki, M. (2021). Rice Height Monitoring between Different Estimation Models Using UAV Photogrammetry and Multispectral Technology. Remote Sensing, 14(1), 78. https://doi.org/10.3390/rs14010078

Lyu, S., Noguchi, N., Ospina, R., & Kishima, Y. (2021). Development of phenotyping system using low altitude UAV imagery and deep learning. International Journal of Agricultural and Biological Engineering, 14(1), 207–215. https://doi.org/10.25165/j.ijabe.20211401.6025

McFeeters, S. K. (1996). The use of the Normalized Difference Water Index (NDWI) in the delineation of open water features. International Journal of Remote Sensing, 17(7), 1425–1432. https://doi.org/10.1080/01431169608948714

Ohe, M., & Mimoto, H. (2002). Appropriate Time of Deep-Water Treatment for Regulation of Rice Growth. Japanese Journal of Crop Science, 71(3), 335–342. https://doi.org/10.1626/jcs.71.335

Peñuelas, J., Gamon, J. A., Griffin, K. L., & Field, C. B. (1993). Assessing community type, plant biomass, pigment composition, and photosynthetic efficiency of aquatic vegetation from spectral reflectance. Remote Sensing of Environment, 46(2), 110–118. https://doi.org/10.1016/0034-4257(93)90088-F

Quille-Mamani, J., Porras-Jorge, R., Saravia-Navarro, D., Valqui-Valqui, L., Herrera, J., Chávez-Galarza, J., & Arbizu, C. I. (2022). Assessment of vegetation Índices derived from UAV images for predicting biometric variables in bean during ripening stage. Idesia (Arica), 40(2), 39–45. https://doi.org/10.4067/S0718-34292022000200039

R Core Team. (2023). R: A language and environment for statistical computing. R Foundation for Statistical Computing, Vienna, Austria. R Foundation for Statistical Computing, Vienna, Austria.

Reynolds, M., Chapman, S., Crespo-Herrera, L., Molero, G., Mondal, S., Pequeno, D. N. L., Pinto, F., Pinera-Chavez, F. J., Poland, J., Rivera-Amado, C., Saint Pierre, C., & Sukumaran, S. (2020). Breeder friendly phenotyping. Plant Science, 295, 110396. https://doi.org/10.1016/j.plantsci.2019.110396

Rondeaux, G., Steven, M., & Baret, F. (1996). Optimization of soil-adjusted vegetation indices. Remote Sensing of Environment, 55(2), 95–107. https://doi.org/10.1016/0034-4257(95)00186-7

Rosero, M. (1983). Sistema de Evaluación Estandar para Arroz. Centro Internacional de Agricultura Tropical (CIAT).

Shearman, J. R., Vejchasarn, P., Naktang, C., Phansenee, Y., Jomchai, N., Lanceras-Siangliw, J., Tangphatsornruang, S., & Toojinda, T. (2022). Rice height QTLs in KDML105 chromosome segment substitution lines. Genomics, 114(1), 482–487. https://doi.org/10.1016/j.ygeno.2019.09.003

Sulik, J. J., & Long, D. S. (2016). Spectral considerations for modeling yield of canola. Remote Sensing of Environment, 184, 161–174. https://doi.org/10.1016/j.rse.2016.06.016

Takai, T. (2024). Potential of rice tillering for sustainable food production. Journal of Experimental Botany, 75(3), 708–720. https://doi.org/10.1093/jxb/erad422

Takai, T., Taniguchi, Y., Takahashi, M., Nagasaki, H., Yamamoto, E., Hirose, S., Hara, N., Akashi, H., Ito, J., AraiSanoh, Y., Hori, K., Fukuoka, S., Sakai, H., Tokida, T., Usui, Y., Nakamura, H., Kawamura, K., Asai, H., Ishizaki, T., … Uga, Y. (2023). MORE PANICLES 3 , a natural allele of OsTB1/FC1 , impacts rice yield in paddy fields at elevated CO2 levels. The Plant Journal, 114(4), 729–742. https://doi.org/10.1111/tpj.16143

Tan, S., Lu, H., Yu, J., Lan, M., Hu, X., Zheng, H., Peng, Y., Wang, Y., Li, Z., Qi, L., & Ma, X. (2023). In-field rice panicles detection and growth stages recognition based on RiceRes2Net. Computers and Electronics in Agriculture, 206, 107704. https://doi.org/10.1016/j.compag.2023.107704

Tanaka, T. S. T., Wang, S., Jørgensen, J. R., Gentili, M., Vidal, A. Z., Mortensen, A. K., Acharya, B. S., Beck, B. D., & Gislum, R. (2024). Review of Crop Phenotyping in Field Plot Experiments Using UAV-Mounted Sensors and Algorithms. Drones, 8(6), 212. https://doi.org/10.3390/drones8060212

Wan, L., Zhang, J., Dong, X., Du, X., Zhu, J., Sun, D., Liu, Y., He, Y., & Cen, H. (2021). Unmanned aerial vehicle-based field phenotyping of crop biomass using growth traits retrieved from PROSAIL model. Computers and Electronics in Agriculture, 187, 106304. https://doi.org/10.1016/j.compag.2021.106304

Yamagishi, Y., Kato, Y., Ninomiya, S., & Guo, W. (2022). Image-Based Phenotyping for Non-Destructive In Situ Rice (Oryza sativa L.) Tiller Counting Using Proximal Sensing. Sensors, 22(15), 5547. https://doi.org/10.3390/s22155547

Yang, G., Liu, J., Zhao, C., Li, Z., Huang, Y., Yu, H., Xu, B., Yang, X., Zhu, D., Zhang, X., Zhang, R., Feng, H., Zhao, X., Li, Z., Li, H., & Yang, H. (2017). Unmanned Aerial Vehicle Remote Sensing for Field-Based Crop Phenotyping: Current Status and Perspectives. Frontiers in Plant Science, 8. https://doi.org/10.3389/fpls.2017.01111

Yang, Q., Shi, L., Han, J., Zha, Y., & Zhu, P. (2019). Deep convolutional neural networks for rice grain yield estimation at the ripening stage using UAV-based remotely sensed images. Field Crops Research, 235, 142–153. https://doi.org/10.1016/j.fcr.2019.02.022

Yue, J., Yang, G., Tian, Q., Feng, H., Xu, K., & Zhou, C. (2019). Estimate of winter-wheat above-ground biomass based on UAV ultrahigh-ground-resolution image textures and vegetation indices. ISPRS Journal of Photogrammetry and Remote Sensing, 150, 226–244. https://doi.org/10.1016/j.isprsjprs.2019.02.022

Zang, Y., Yao, Y., Xu, Z., Wang, B., Mao, Y., Wang, W., Zhang, W., Zhang, H., Liu, L., Wang, Z., Liang, G., Yang, J., Zhou, Y., & Gu, J. (2022). The Relationships among “STAY-GREEN” Trait, Post-Anthesis Assimilate Remobilization, and Grain Yield in Rice (Oryza sativa L.). International Journal of Molecular Sciences, 23(22), 13668. https://doi.org/10.3390/ijms232213668

Zhang, Z., Sun, X., Ma, X., Xu, B., Zhao, Y., Ma, Z., Li, G., Khan, N. U., Pan, Y., Liang, Y., Zhang, H., Li, J., & Li, Z. (2021). GNP6, a novel allele of MOC1, regulates panicle and tiller development in rice. The Crop Journal, 9(1), 57–67. https://doi.org/10.1016/j.cj.2020.04.011

Zhao, X., Nishina, K., Akitsu, T. K., Jiang, L., Masutomi, Y., & Nasahara, K. N. (2023). Feature-based algorithm for large-scale rice phenology detection based on satellite images. Agricultural and Forest Meteorology, 329, 109283. https://doi.org/10.1016/j.agrformet.2022.109283

Zhou, H., Huang, F., Lou, W., Gu, Q., Ye, Z., Hu, H., & Zhang, X. (2025). Yield prediction through UAV-based multispectral imaging and deep learning in rice breeding trials. Agricultural Systems, 223, 104214. https://doi.org/10.1016/j.agsy.2024.104214